Open Access

Fig. 6

image

Download original image

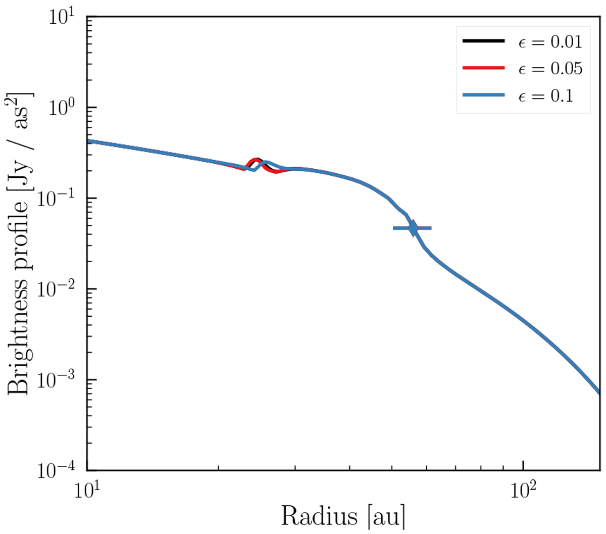
Dependence of the brightness profiles on the initial disk dust to gas ratio. The profiles are independent on the assumed initial ratio, suggesting that by this age most of the dust evolution already happened and it is not affecting our results.

Current usage metrics show cumulative count of Article Views (full-text article views including HTML views, PDF and ePub downloads, according to the available data) and Abstracts Views on Vision4Press platform.

Data correspond to usage on the plateform after 2015. The current usage metrics is available 48-96 hours after online publication and is updated daily on week days.

Initial download of the metrics may take a while.