Fig. 6

Download original image
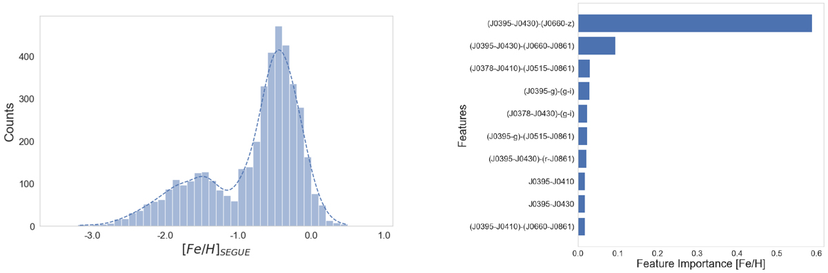
Parameter distribution and photometric indicators for metallicities. Left: distribution of [Fe/H] for the training sample composed of 4299 stars from J-PLUS × SEGUE. Right: relative importance of the features for the estimation of metallicity. The most important feature as [Fe/H] indicator is the combination (J0395−J0430)−(J0660−z) based on narrow-band filters containing the spectral features Ca II H & K, G-band, and Hα and the broad-band filter z.
Current usage metrics show cumulative count of Article Views (full-text article views including HTML views, PDF and ePub downloads, according to the available data) and Abstracts Views on Vision4Press platform.
Data correspond to usage on the plateform after 2015. The current usage metrics is available 48-96 hours after online publication and is updated daily on week days.
Initial download of the metrics may take a while.