Free Access

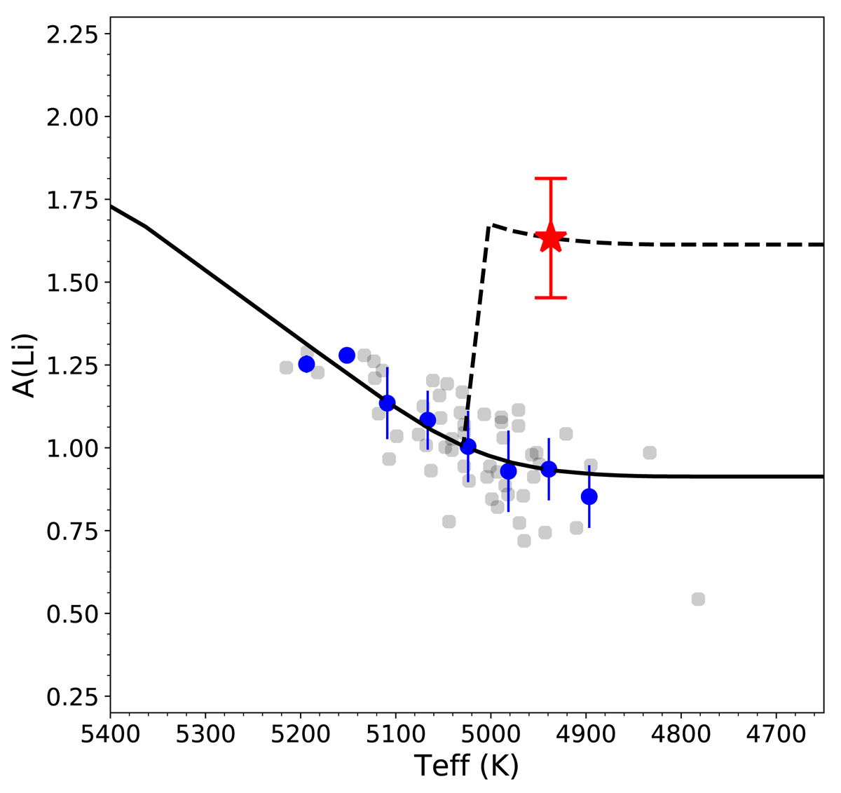
Fig. 10.

image

Download original image

Lithium abundance pattern of NGC 3201. The Li-rich giant found (red star) could be explained by a model with planet engulfment (dashed line), where the hypothetical planet has a mass of Mplanet = 9.3 MJupiter (with Jupiter-like composition) or Mplanet = 110 MEarth with Earth-like composition.

Current usage metrics show cumulative count of Article Views (full-text article views including HTML views, PDF and ePub downloads, according to the available data) and Abstracts Views on Vision4Press platform.

Data correspond to usage on the plateform after 2015. The current usage metrics is available 48-96 hours after online publication and is updated daily on week days.

Initial download of the metrics may take a while.