Free Access

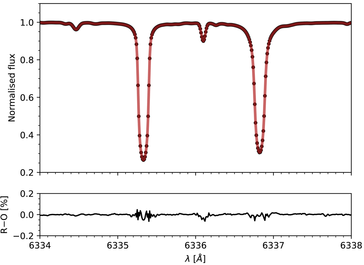
Fig. 2.

image

Download original image

Top panel: original synthetic spectrum (black line) compared to the result of the spectral emulator (shaded red line). Both spectra correspond to the following stellar parameters: Teff = 5750 K, log g 4.5 dex, and [Fe/H] = 0.0 dex. Bottom panel: differences between the reconstructed and original spectra (R–O).

Current usage metrics show cumulative count of Article Views (full-text article views including HTML views, PDF and ePub downloads, according to the available data) and Abstracts Views on Vision4Press platform.

Data correspond to usage on the plateform after 2015. The current usage metrics is available 48-96 hours after online publication and is updated daily on week days.

Initial download of the metrics may take a while.