Free Access

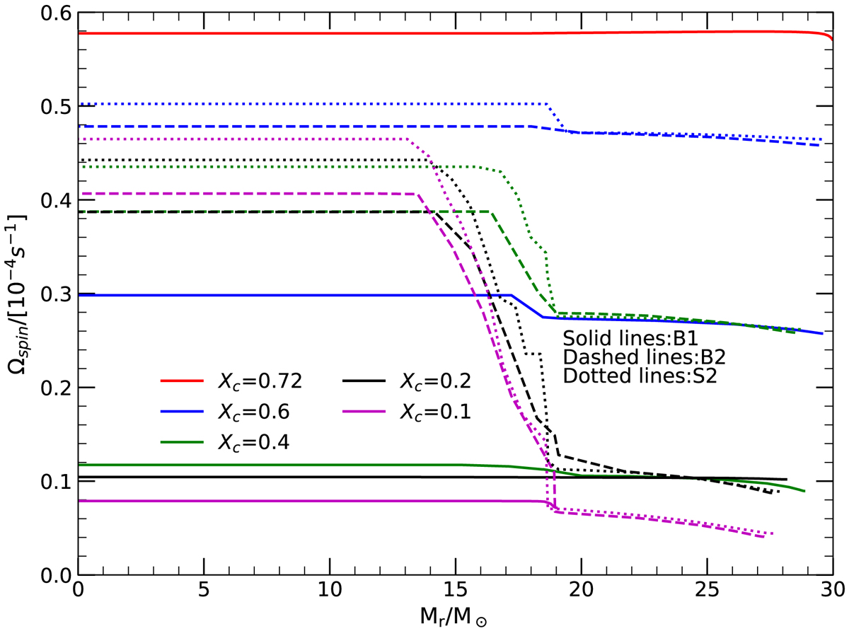
Fig. 3.

image

Download original image

Rotation profiles as a function of the Lagrangian mass at various stages of MS evolution (labeled by the central hydrogen content Xc) of three models. The dotted lines indicate a rotating 30 M single star S2. Dashed and solid lines indicate the primary star in B2 with initial Porb = 20.0 days and the primary star in B1 with initial Porb = 6.0, respectively.

Current usage metrics show cumulative count of Article Views (full-text article views including HTML views, PDF and ePub downloads, according to the available data) and Abstracts Views on Vision4Press platform.

Data correspond to usage on the plateform after 2015. The current usage metrics is available 48-96 hours after online publication and is updated daily on week days.

Initial download of the metrics may take a while.