Free Access

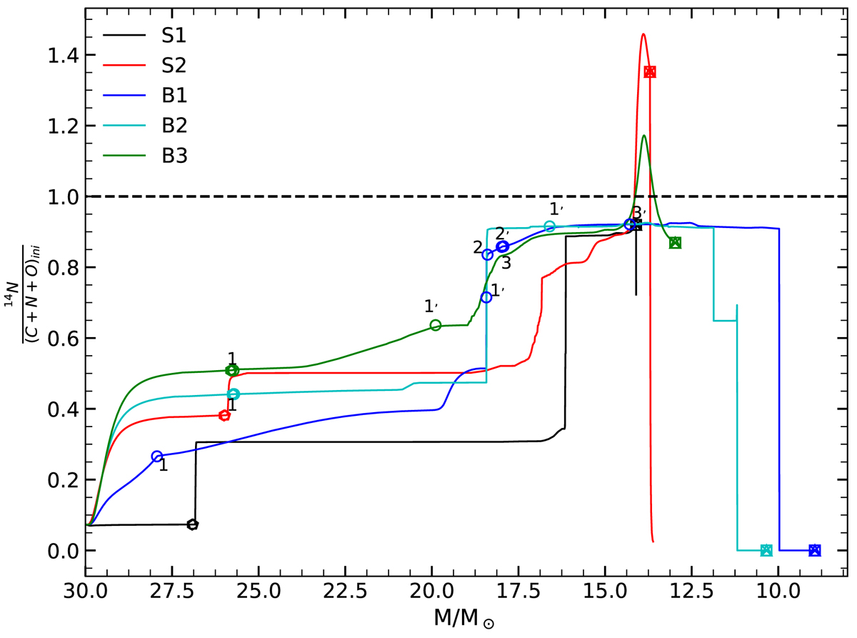
Fig. 7.

image

Download original image

Evolution of the ratio of surface mass fraction 14N to the sum of the initial mass fraction of CNO as a function the actual mass of the star in the nonrotating and rotating single stars and the primary stars in rotating binaries.

Current usage metrics show cumulative count of Article Views (full-text article views including HTML views, PDF and ePub downloads, according to the available data) and Abstracts Views on Vision4Press platform.

Data correspond to usage on the plateform after 2015. The current usage metrics is available 48-96 hours after online publication and is updated daily on week days.

Initial download of the metrics may take a while.