Free Access

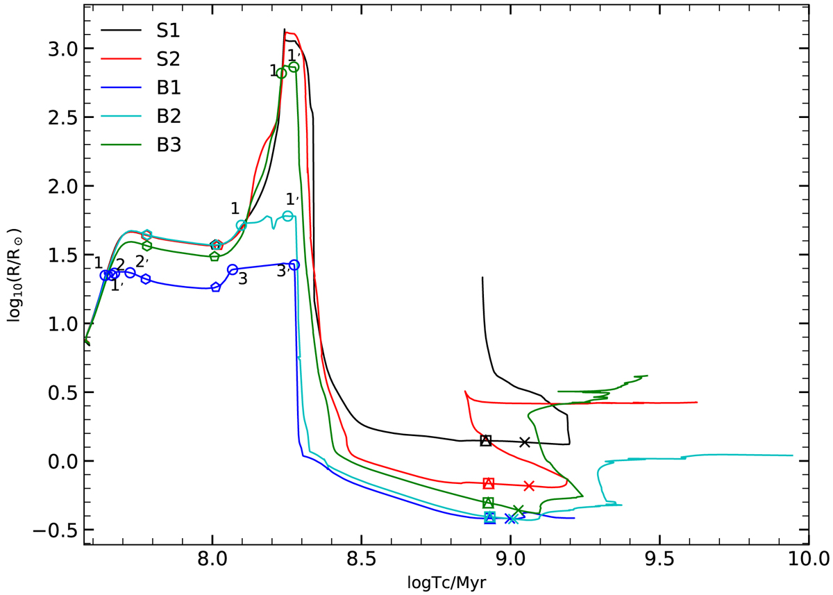
Fig. 9.

image

Download original image

Stellar radius as a function of the central temperature of the stellar evolutionary sequences of the models of different initial velocities in single stars and different initial orbital periods in binaries.

Current usage metrics show cumulative count of Article Views (full-text article views including HTML views, PDF and ePub downloads, according to the available data) and Abstracts Views on Vision4Press platform.

Data correspond to usage on the plateform after 2015. The current usage metrics is available 48-96 hours after online publication and is updated daily on week days.

Initial download of the metrics may take a while.