Open Access

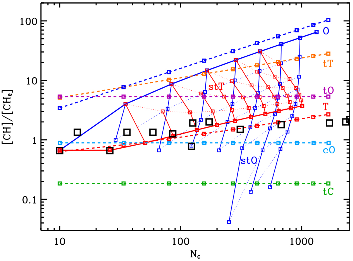
Fig. 7

image

Download original image

CH]/[CH2] ratios in diamond-bonded networks of polyhedral form as a function of the truncation length (thin solid lines) increasing with distance from the thick solid red and blue lines, as a function of the number of constituent carbon atoms NC: the thick solid lines are for the regular tetrahedral (red) and octahedral (blue) forms and the dangling and rising thinner lines show the effects of increasing truncation. The thick dashed lines show the [CH/[CH2] ratios for the polyhedral models: T (red), tT (orange), O (blue), tO (purple), cO (cobalt), and tC (green). For cubic particles (C) this ratio is zero. The data points show the only possible particle solutions with this truncation scheme. The black squares show the ratios for ‘spherical’ nano-diamonds for comparison.

Current usage metrics show cumulative count of Article Views (full-text article views including HTML views, PDF and ePub downloads, according to the available data) and Abstracts Views on Vision4Press platform.

Data correspond to usage on the plateform after 2015. The current usage metrics is available 48-96 hours after online publication and is updated daily on week days.

Initial download of the metrics may take a while.