Fig. A.1

Download original image
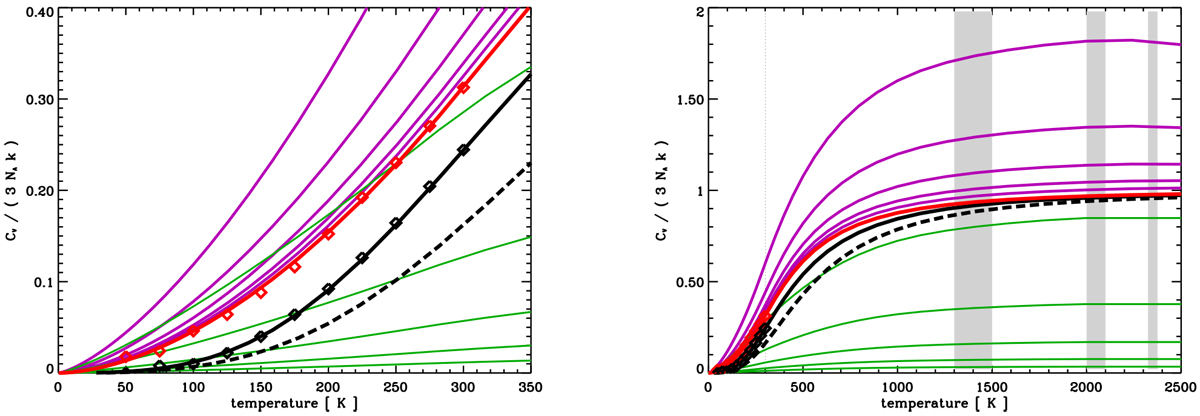
Nano-diamond heat capacities, CV(T), plotted as a function of temperature in the dimensionless units CV(T)∕(3 NA k) where NA is the Avogadro number and k is the Botlzmann constant. The dashed black line shows the CV (T) data for diamond assuming a standard Debye temperature, TD of 2250 K. The 50 − 300 K data points (left hand zoom plot) delineate the laboratory-measured (nano-)diamond heat capacities, as shown by Vasiliev et al. (2010a,b, 2011), for detonation nano-diamonds (red diamonds) and synthetic diamond (black diamonds); the latter fitted with TD = 1875 K (black line). The fit to the detonation nano-diamond data (red line) is described in the text. The other CV (T) data shown are for: fully surface-hydrogenated nano-diamonds with radii of 0.54, 1.20, 2.66, 5.88, and 13.01 nm (from top to bottom, solid purple lines). The green lines show the size-dependent contribution of the surface H atoms.
Current usage metrics show cumulative count of Article Views (full-text article views including HTML views, PDF and ePub downloads, according to the available data) and Abstracts Views on Vision4Press platform.
Data correspond to usage on the plateform after 2015. The current usage metrics is available 48-96 hours after online publication and is updated daily on week days.
Initial download of the metrics may take a while.