Fig. A.3

Download original image
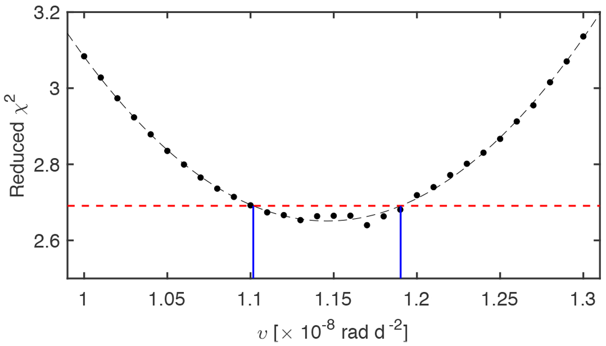
Dependence of the goodness of the fit measured by the reduced χ2 on the YORP parameter υ for asteroid (1620) Geographos. The dashed curve is a quadratic fit of the data points. The dashed red line indicates a 1.5% increase in the χ2, which defines our 1σ uncertainty interval of ± 0.04 × 10−8 rad d−2 given the number of degrees of freedom.
Current usage metrics show cumulative count of Article Views (full-text article views including HTML views, PDF and ePub downloads, according to the available data) and Abstracts Views on Vision4Press platform.
Data correspond to usage on the plateform after 2015. The current usage metrics is available 48-96 hours after online publication and is updated daily on week days.
Initial download of the metrics may take a while.