Fig. 5

Download original image
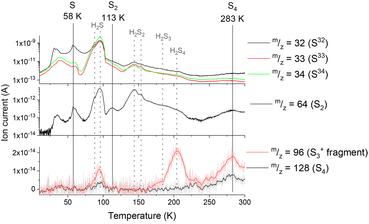
Thermal programmed desorption of an irradiated H2S ice sample. A given m∕z value can correspond to the molecular ion of a species or to a fragment of a larger species. The desorption temperatures of Sx molecules are indicated by the solid vertical lines. Dashed lines indicate the desorption of H2Sx
species. Apart from the molecular ion of each species, the
values of the main fragments used to confirm the presence of these species are displayed.
Current usage metrics show cumulative count of Article Views (full-text article views including HTML views, PDF and ePub downloads, according to the available data) and Abstracts Views on Vision4Press platform.
Data correspond to usage on the plateform after 2015. The current usage metrics is available 48-96 hours after online publication and is updated daily on week days.
Initial download of the metrics may take a while.