Fig. 3.

Download original image
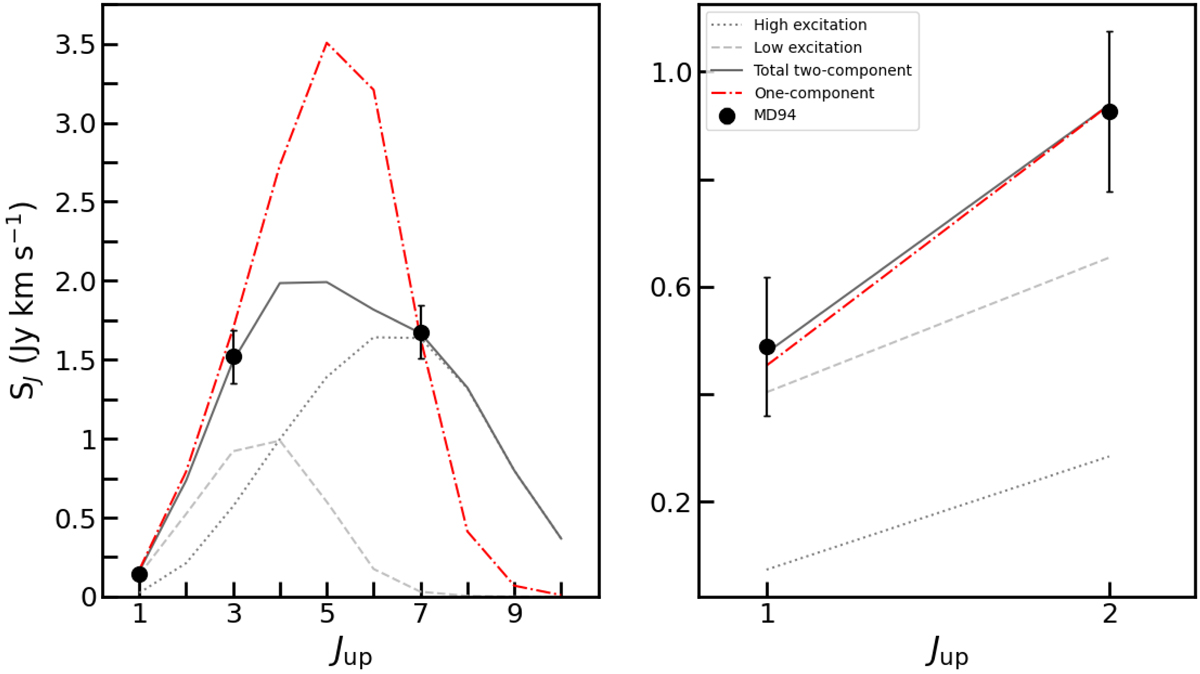
Large velocity gradient RADEX modeling of the CO (left) and [CI] (right) SLEDs. The red line shows the best RADEX single-component model (T = 41 K, nH2 = 8.5 × 103 cm−3). The gray line shows the best two-component model, which is the combination of low- (T = 34 K, nH2 = 3.1 × 103 cm−3; green) and high-excitation (T = 137 K, nH2 = 1.6 × 104 cm−3; red) components.
Current usage metrics show cumulative count of Article Views (full-text article views including HTML views, PDF and ePub downloads, according to the available data) and Abstracts Views on Vision4Press platform.
Data correspond to usage on the plateform after 2015. The current usage metrics is available 48-96 hours after online publication and is updated daily on week days.
Initial download of the metrics may take a while.