Free Access
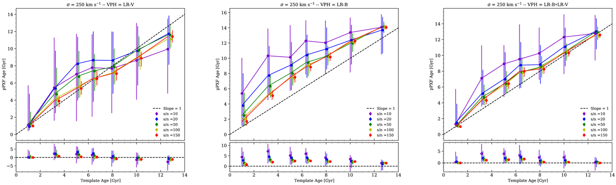
Fig. A.2.

Download original image
Age of the original SSP models vs. the results obtained by analysing with pPXF the spectra of different realisations, all broadened to σ = 250 km s−1. We show the results from different spectral ranges, from left to right: LR-V, LR-B, and LR-B+LR-V and several signal-to-noise ratios in different colours.
Current usage metrics show cumulative count of Article Views (full-text article views including HTML views, PDF and ePub downloads, according to the available data) and Abstracts Views on Vision4Press platform.
Data correspond to usage on the plateform after 2015. The current usage metrics is available 48-96 hours after online publication and is updated daily on week days.
Initial download of the metrics may take a while.