Free Access
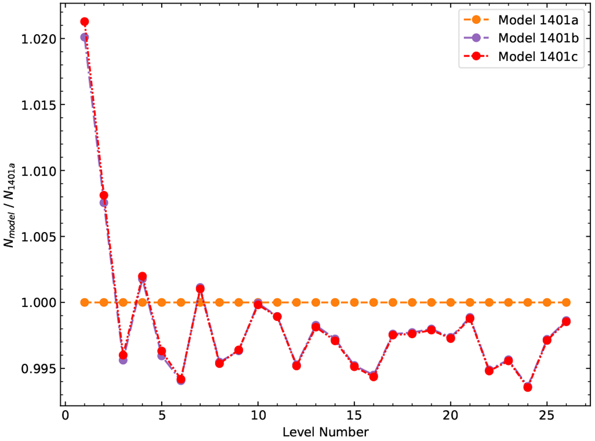
Fig. 12

Download original image
Level population ratio for model 1401b (purple connected dots) and 1401c (red connected dots) with model 1401 (orange connected dots). For each level, a sum over all heights in the atmosphere was performed.
Current usage metrics show cumulative count of Article Views (full-text article views including HTML views, PDF and ePub downloads, according to the available data) and Abstracts Views on Vision4Press platform.
Data correspond to usage on the plateform after 2015. The current usage metrics is available 48-96 hours after online publication and is updated daily on week days.
Initial download of the metrics may take a while.