Fig. 2.

Download original image
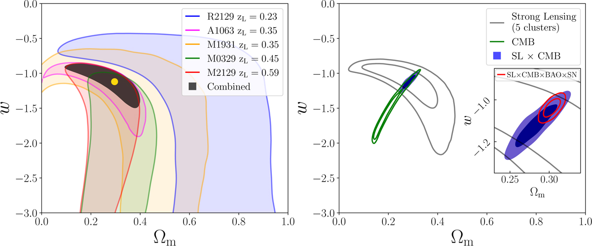
Cosmological constraints for the flat-wCDM cosmological model, where Ωm and w are free parameters. Left panel: 68% confidence levels from the strong lensing analyses for each cluster (coloured regions) and the combined constraint shown by the grey region. The yellow circle shows the median value of the constrained cosmological parameters (see Table 2). Right panel: combination with other cosmological observables. The inset box shows the additional combination with BAO and SN. The contours indicate the 68% and 95% confidence regions. The strong lensing confidence levels are almost perpendicular to those obtained from the CMB and when combined, strong lensing improves the CMB constraints by factors of 2.5 and 4.0 on Ωm and w, respectively.
Current usage metrics show cumulative count of Article Views (full-text article views including HTML views, PDF and ePub downloads, according to the available data) and Abstracts Views on Vision4Press platform.
Data correspond to usage on the plateform after 2015. The current usage metrics is available 48-96 hours after online publication and is updated daily on week days.
Initial download of the metrics may take a while.