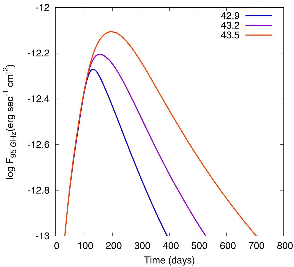
Fig. 4.

Download original image
Radio light curves as a function of time as measured in the observer’s frame for various initial values in log (erg/sec) of the injected electron luminosity – the injection is assumed to start at t = 0. The other parameters have the values:
cm, uexp = 0.05 c,
G,
, γmin = 1, γmax = 106, p = 2, and δ = 10. For the magnetic field profile, we have B′∝R′ − 1 and for the electron luminosity,
. The source is assumed to be at a distance of 130 Mpc.
Current usage metrics show cumulative count of Article Views (full-text article views including HTML views, PDF and ePub downloads, according to the available data) and Abstracts Views on Vision4Press platform.
Data correspond to usage on the plateform after 2015. The current usage metrics is available 48-96 hours after online publication and is updated daily on week days.
Initial download of the metrics may take a while.