Fig. 5.

Download original image
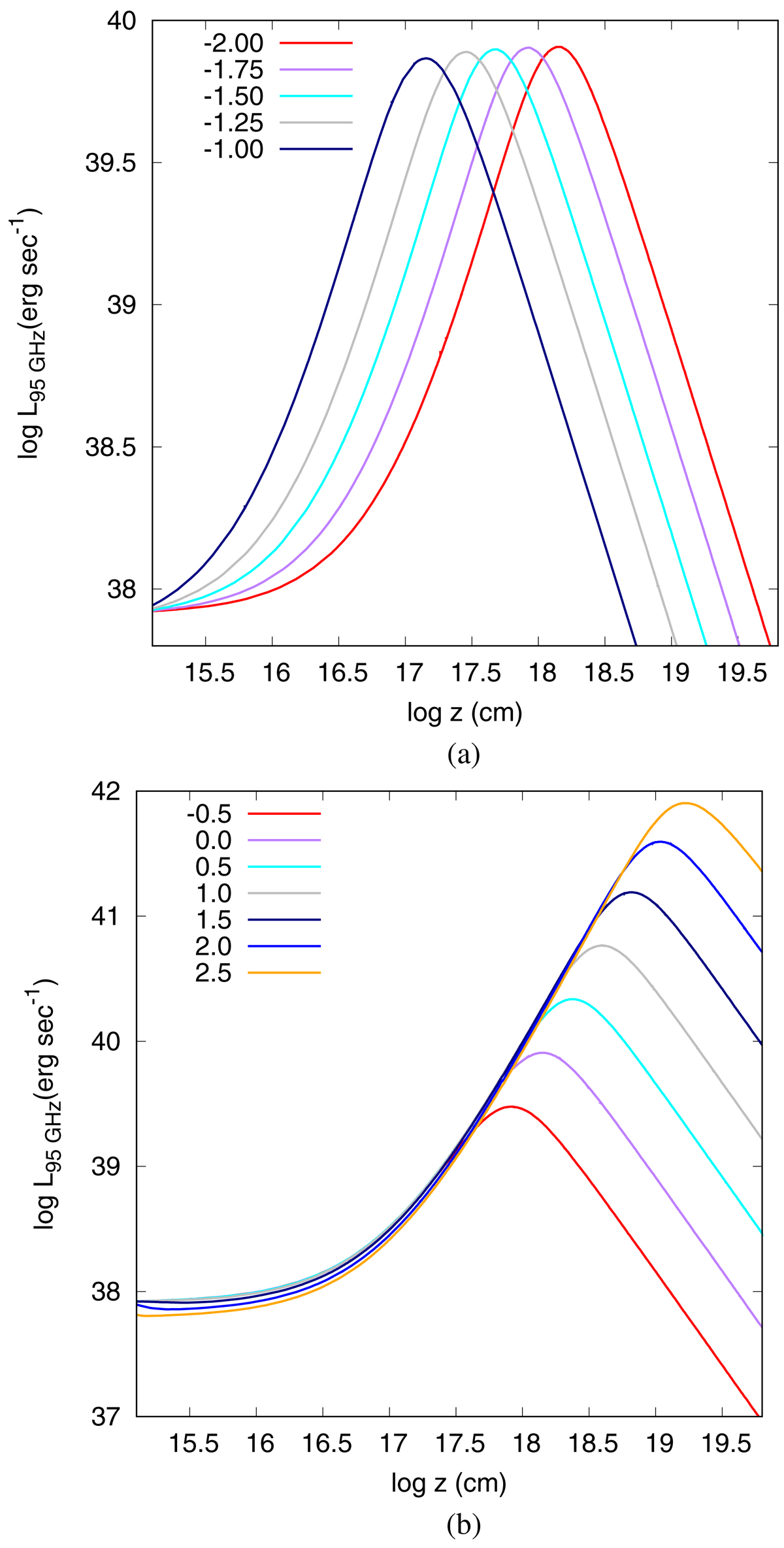
Localization of the onset of the radio emission depending on (a) the expansion velocity in units of c and (b) the initial magnetic field strength, both in logarithmic scale. The other parameters have the values: cm,
erg s−1,
, γmin = 1, γmax = 106, p = 2, δ = 10 and z0 = 0.001 pc. In sub-figure (a)
G and in sub-figure (b) uexp = 0.01 c. The profiles of the magnetic field strength and electrons luminosity are decreasing as R−1.
Current usage metrics show cumulative count of Article Views (full-text article views including HTML views, PDF and ePub downloads, according to the available data) and Abstracts Views on Vision4Press platform.
Data correspond to usage on the plateform after 2015. The current usage metrics is available 48-96 hours after online publication and is updated daily on week days.
Initial download of the metrics may take a while.