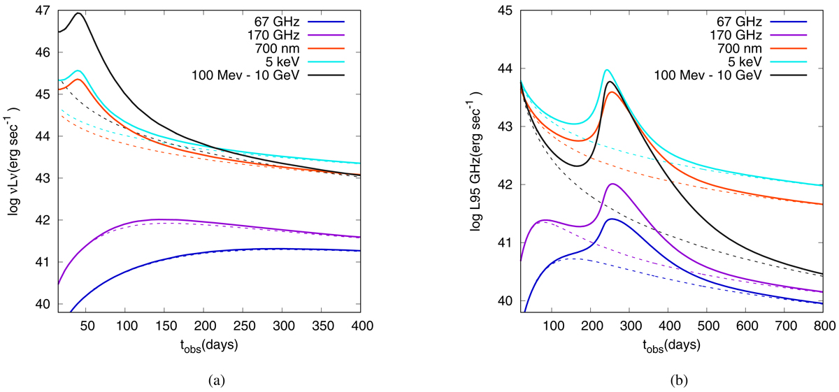
Fig. 9.

Download original image
Flares at different wavelengths. (a) Flare in a self-absorbed region. The parameters have the following values: cm,
G,
erg s−1,
, uexp = 0.1 c, γmin = 1, γmax = 106, p = 2, δ = 10, and z0 = 0.001 pc. The magnetic field decreases as B′∝R′ − 1 and the electron luminosity as
. For the γ-ray flare, we used a pulse which was injected at
, with a width w′ = 50 tcross, 0 and α = 45. The dashed lines represent the emission of the blob without the reaccelerating episode; (b) flare in an optically thin region. In this case, we change only the initial electron luminosity
erg s−1 and the reaccelerating episode occurs at the time,
, the rest of the parameters are the same as in case (a).
Current usage metrics show cumulative count of Article Views (full-text article views including HTML views, PDF and ePub downloads, according to the available data) and Abstracts Views on Vision4Press platform.
Data correspond to usage on the plateform after 2015. The current usage metrics is available 48-96 hours after online publication and is updated daily on week days.
Initial download of the metrics may take a while.