Fig. 4

Download original image
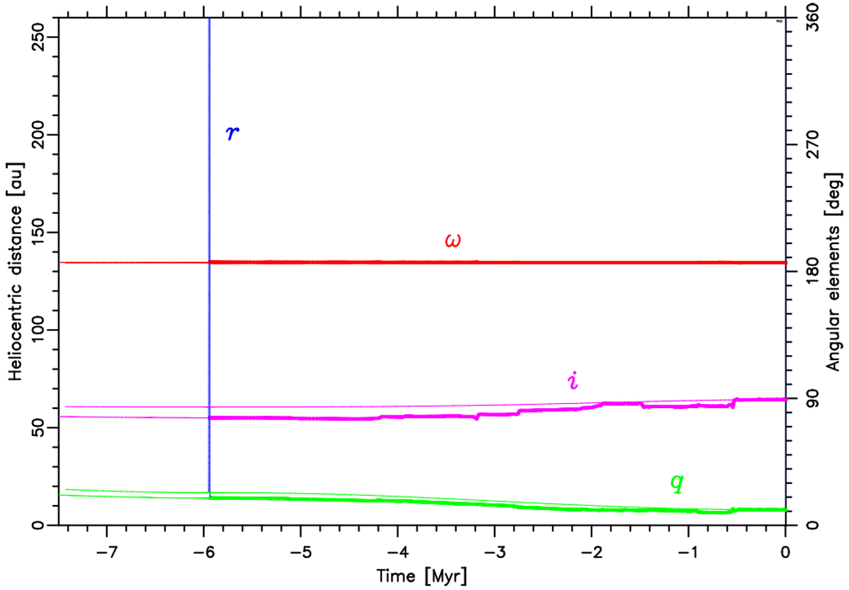
Dynamical past evolution of the nominal orbit of C/2015 XY1. Here P0506 and P0230 are excluded from the model. Changes in a perihelion distance (green), an inclination (fuchsia) and an argument of perihelion (red) are shown. The thick lines depict the result of the full dynamical model while thin lines show the evolution of elements in the absence of any stellar perturbations. Angular elements are expressed in the Galactic frame.
Current usage metrics show cumulative count of Article Views (full-text article views including HTML views, PDF and ePub downloads, according to the available data) and Abstracts Views on Vision4Press platform.
Data correspond to usage on the plateform after 2015. The current usage metrics is available 48-96 hours after online publication and is updated daily on week days.
Initial download of the metrics may take a while.