Free Access
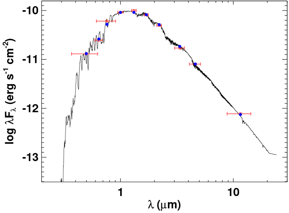
Fig. 4

Download original image
SED of TOI-2257. The red symbols represent the observed photometric measurements; the horizontal bars represent the effective width of the passband. The blue symbols are the model fluxes from the best-fit NextGen atmosphere model (black).
Current usage metrics show cumulative count of Article Views (full-text article views including HTML views, PDF and ePub downloads, according to the available data) and Abstracts Views on Vision4Press platform.
Data correspond to usage on the plateform after 2015. The current usage metrics is available 48-96 hours after online publication and is updated daily on week days.
Initial download of the metrics may take a while.