Free Access
Fig. 5

Download original image
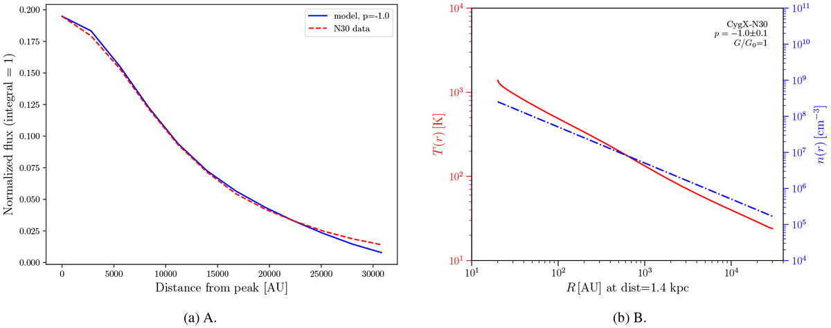
A. Radial emission profile comparison between the data (red dashed line) and the Transphere model (blue solid line), both normalised by their respective maxima. B. Resulting model temperature (red solid line and red axis) and density (blue dash-dotted line and blue axis) profiles.
Current usage metrics show cumulative count of Article Views (full-text article views including HTML views, PDF and ePub downloads, according to the available data) and Abstracts Views on Vision4Press platform.
Data correspond to usage on the plateform after 2015. The current usage metrics is available 48-96 hours after online publication and is updated daily on week days.
Initial download of the metrics may take a while.