Fig. C.1.

Download original image
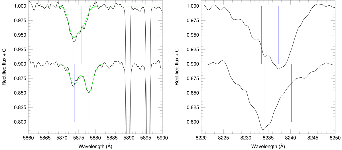
(left) Two LiLiMaRlin epochs of the He Iλ5875.6 and Na Iλλ5889.951,5895.924 region for the Bajamar star. A double Gaussian profile (green line) is fit to the He Iλ5875.6 absorption profile, with the blue vertical lines marking the A spectroscopic component and red vertical lines the B spectroscopic component. (right) The same two spectra in the region of the He IIλ8236.8 line. The blue and red vertical lines mark the expected positions as derived from the velocities of the He Iλ5875.6 fit. In both panels the spectral resolution has been degraded to R = 10 000 to better visualize the spectra. Telluric lines have been removed following Gardini et al. (2013).
Current usage metrics show cumulative count of Article Views (full-text article views including HTML views, PDF and ePub downloads, according to the available data) and Abstracts Views on Vision4Press platform.
Data correspond to usage on the plateform after 2015. The current usage metrics is available 48-96 hours after online publication and is updated daily on week days.
Initial download of the metrics may take a while.