Open Access
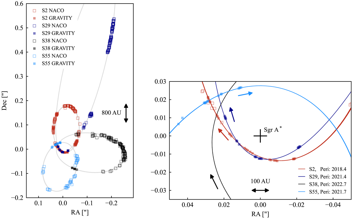
Fig. 2.

Download original image
Summary of the 1992–2021 astrometric data and best fitting orbits for the stars S2, S29, S38, and S55. The black cross marks the position of the compact radio source Sgr A* and mass center. The directions of projected orbital motions are marked by arrows.
Current usage metrics show cumulative count of Article Views (full-text article views including HTML views, PDF and ePub downloads, according to the available data) and Abstracts Views on Vision4Press platform.
Data correspond to usage on the plateform after 2015. The current usage metrics is available 48-96 hours after online publication and is updated daily on week days.
Initial download of the metrics may take a while.