Open Access

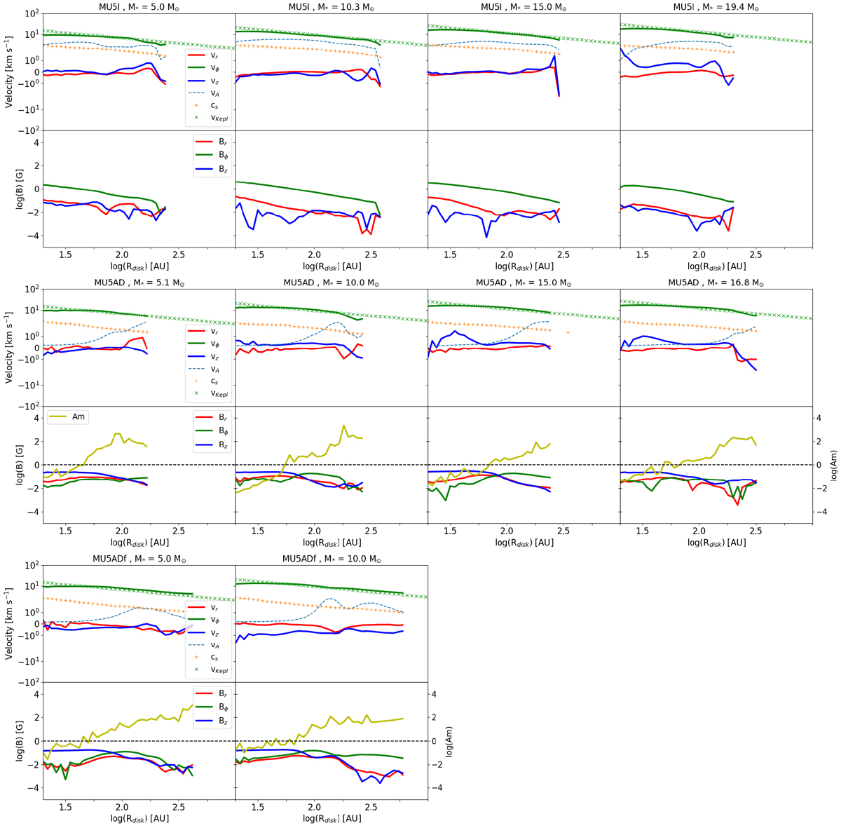
Fig. 14

image

Download original image

Mean radial profiles of the velocities and magnetic field components for the MU5I (first two rows), MU5AD (rows 3 and 4), and MU5ADf (rows 5 and 6). The time (and sink mass) increases from left to right. In the velocity plots, we represent the radial velocity Vr (thick red line), azimuthal velocity Vϕ (thick green), vertical velocity Vz (thick blue), Alfvén velocity VA (dashed blue), sound speed Cs (green cross), and Keplerian velocity (red cross). In the magnetic component panels, we show the logarithm of the absolute value of the radial component Br (thick red), the toroidal component Bϕ (thick green), vertical component Bz (thick blue), as well as the ambipolar diffusion Elsasser number Am.

Current usage metrics show cumulative count of Article Views (full-text article views including HTML views, PDF and ePub downloads, according to the available data) and Abstracts Views on Vision4Press platform.

Data correspond to usage on the plateform after 2015. The current usage metrics is available 48-96 hours after online publication and is updated daily on week days.

Initial download of the metrics may take a while.