Free Access

Fig. 2

image

Download original image

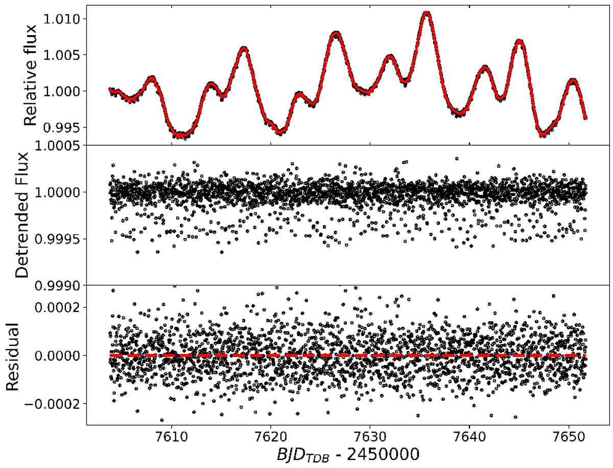
Gaussian-process detrending of the stellar variability in the light curve of K2-131. Top: light curve with the GP model over-plotted in red. Middle: detrended light curve. Bottom: best-fit residuals of the combined fit. The GP detrending and model fitting are carried out simultaneously, unlike the SLF detrending.

Current usage metrics show cumulative count of Article Views (full-text article views including HTML views, PDF and ePub downloads, according to the available data) and Abstracts Views on Vision4Press platform.

Data correspond to usage on the plateform after 2015. The current usage metrics is available 48-96 hours after online publication and is updated daily on week days.

Initial download of the metrics may take a while.