Free Access

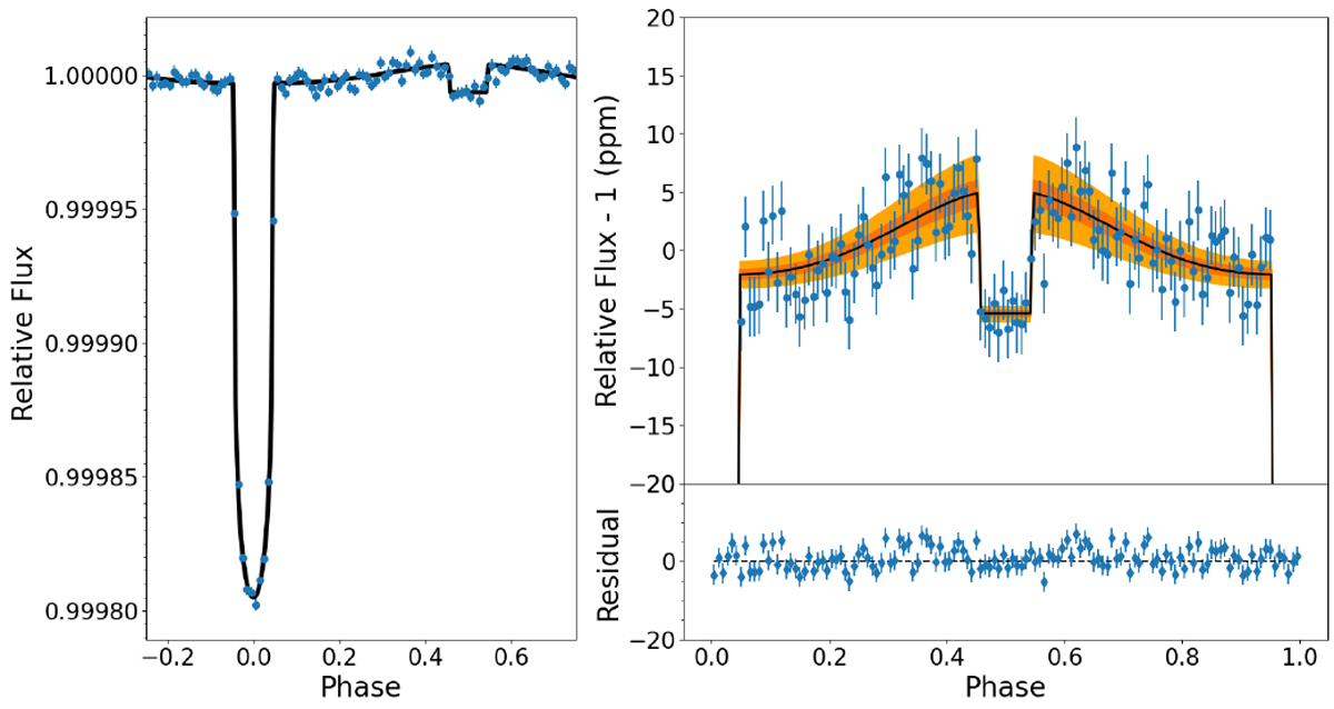
Fig. 4

image

Download original image

Planetary light curve showing the primary transit, secondary eclipse and the phase variation. Left: detrended, phase-folded, and binned light curve of Kepler-10b (blue points). The best-fit model is over-plotted in solid black line. Right: enlarged view of the secondary eclipse and phase variation. Uncertainties of the best-fit model are shown at 1σ and 3σ in dark and light orange, respectively. The residuals of the best-fit model are displayed in the bottom.

Current usage metrics show cumulative count of Article Views (full-text article views including HTML views, PDF and ePub downloads, according to the available data) and Abstracts Views on Vision4Press platform.

Data correspond to usage on the plateform after 2015. The current usage metrics is available 48-96 hours after online publication and is updated daily on week days.

Initial download of the metrics may take a while.