Free Access

Fig. A.7

image

Download original image

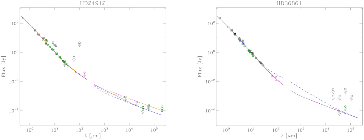
Observed and best-fit fluxes vs. wavelength for the two O giants in our sample, HD 24912 (ξ Per) and HD36861 (λ Ori A). Colours, symbols and line types as in Figure A.4, except for orange dashed-dotted lines, which indicate, for HD 24912, previous best-fit models from P06 (for HD 36861, the results from P06 are still indicated as magenta-dotted). See comments on individual objects in Section A.3.

Current usage metrics show cumulative count of Article Views (full-text article views including HTML views, PDF and ePub downloads, according to the available data) and Abstracts Views on Vision4Press platform.

Data correspond to usage on the plateform after 2015. The current usage metrics is available 48-96 hours after online publication and is updated daily on week days.

Initial download of the metrics may take a while.