Open Access

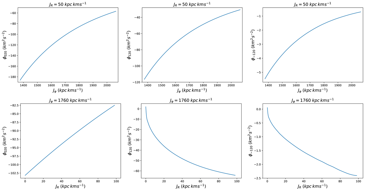
Fig. 1.

image

Download original image

Variations in a few Fourier coefficients ϕjml(J) of the bar potential from Sect. 2.4 as JR or Jφ increase separately at Jz = 0. The actions on the abscissa axis are in kpc km s−1. The curves are very smooth, which justifies our use of the cubic splines method to interpolate.

Current usage metrics show cumulative count of Article Views (full-text article views including HTML views, PDF and ePub downloads, according to the available data) and Abstracts Views on Vision4Press platform.

Data correspond to usage on the plateform after 2015. The current usage metrics is available 48-96 hours after online publication and is updated daily on week days.

Initial download of the metrics may take a while.