Free Access

Fig. 7.

image

Download original image

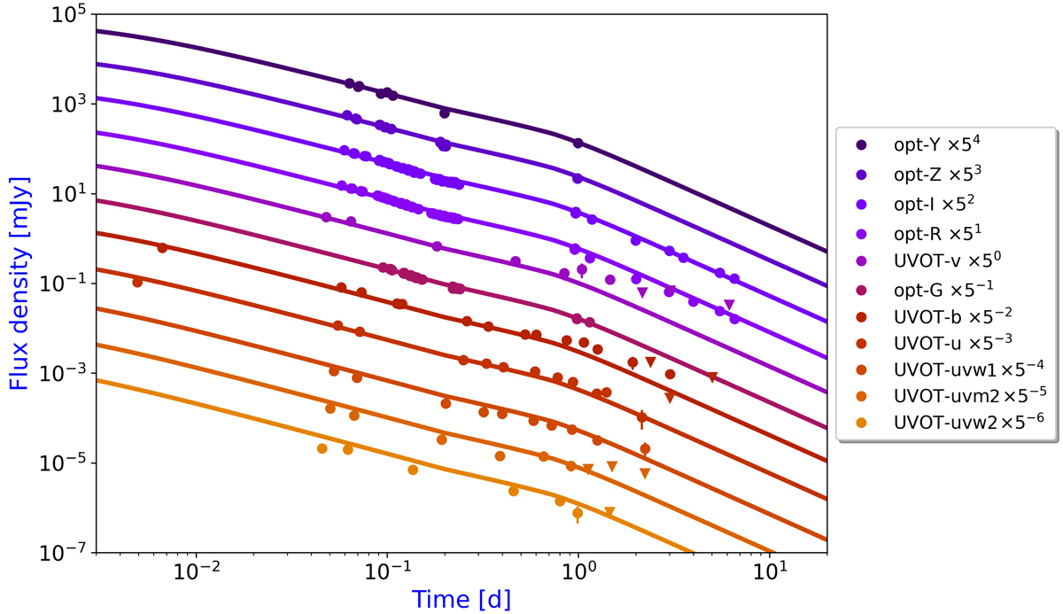
Broadband modelling (UVOIR frequencies; Table 5, first column) of GRB 160131A for a FS model with a ISM-like CBM (GS02); we considered in this analysis a jetted (edge-regime) emission with dust extinction and energy injection. Filled circles indicate detections, and downward triangles indicate 3σ upper limits.

Current usage metrics show cumulative count of Article Views (full-text article views including HTML views, PDF and ePub downloads, according to the available data) and Abstracts Views on Vision4Press platform.

Data correspond to usage on the plateform after 2015. The current usage metrics is available 48-96 hours after online publication and is updated daily on week days.

Initial download of the metrics may take a while.