Free Access

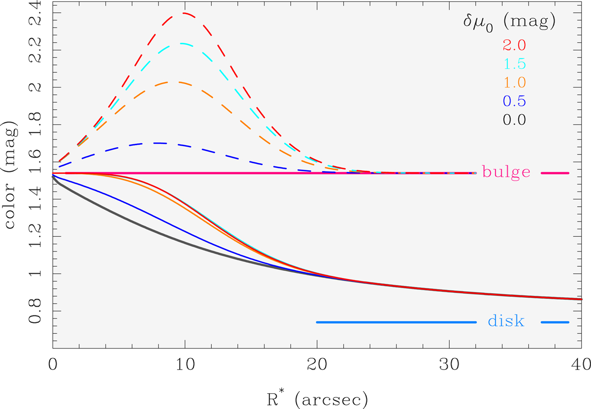
Fig. 12.

image

Download original image

Central part of BR color profiles for the composite (Sérsic+modexp) galaxy model in Fig. 11 for a δμ0 between 0 and 2 mag (solid curves). Dashed curves show disk-corrected color profiles computed on the standard assumption that the disk follows an exponential profile all the way to its center. The true color of the bulge (1.54 mag) and of the outer disk (R > RB; 0.74 mag) are depicted by the horizontal lines.

Current usage metrics show cumulative count of Article Views (full-text article views including HTML views, PDF and ePub downloads, according to the available data) and Abstracts Views on Vision4Press platform.

Data correspond to usage on the plateform after 2015. The current usage metrics is available 48-96 hours after online publication and is updated daily on week days.

Initial download of the metrics may take a while.