Free Access

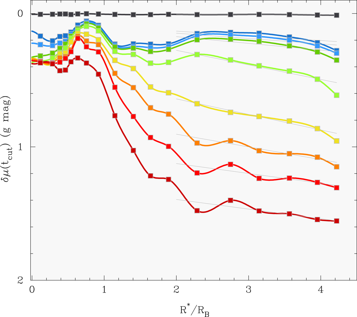
Fig. 4.

image

Download original image

Dimming δμ (mag) relative to the observed, emission-line corrected g-band SBP of NGC 0776 (black) as a function of normalized radius R/RB after suppression of stellar populations younger than a tcut between 0.03 and 9 Gyr. The color-coding is same as in Fig. 3d. Gray lines show linear fits for R/RB ≥2, i.e., in a radius interval in which the contribution of the bulge and bar become negligible.

Current usage metrics show cumulative count of Article Views (full-text article views including HTML views, PDF and ePub downloads, according to the available data) and Abstracts Views on Vision4Press platform.

Data correspond to usage on the plateform after 2015. The current usage metrics is available 48-96 hours after online publication and is updated daily on week days.

Initial download of the metrics may take a while.