Free Access

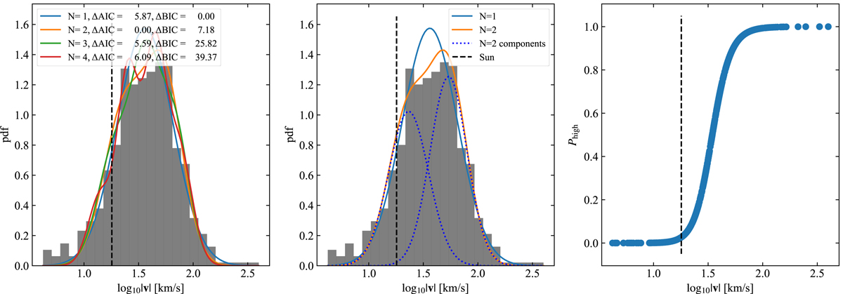
Fig. A.3.

image

Download original image

Gaussian Mixture models for the local peculiar velocity distribution of neighbours of the Sun. Left: One- to ten-component models, together with Aikake and Bayesian information criteria values relative to the best fit. Middle: One- and two-component models, together with the decomposition of the latter. Right: Probability of each star belonging to the high-velocity component of the two-component model.

Current usage metrics show cumulative count of Article Views (full-text article views including HTML views, PDF and ePub downloads, according to the available data) and Abstracts Views on Vision4Press platform.

Data correspond to usage on the plateform after 2015. The current usage metrics is available 48-96 hours after online publication and is updated daily on week days.

Initial download of the metrics may take a while.