Free Access

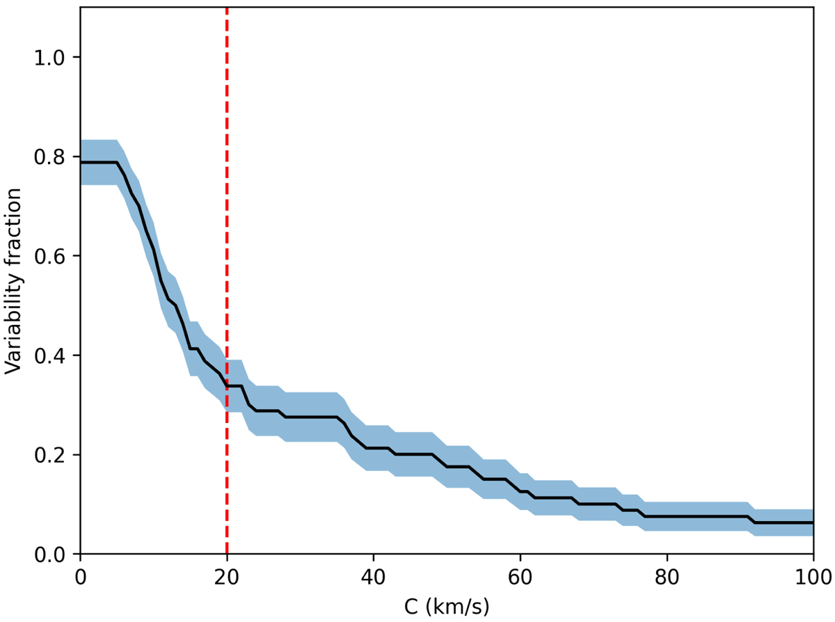
Fig. 6.

image

Download original image

Inferred binary fraction as a function of the critical RV variation amplitude C which separates spectroscopic binaries from variability dominated by variations from systematics and pulsations. The blue shaded area corresponds to the associated binomial error to the binary fraction. The vertical dashed-dotted line indicates the adopted threshold of C = 20 km s−1.

Current usage metrics show cumulative count of Article Views (full-text article views including HTML views, PDF and ePub downloads, according to the available data) and Abstracts Views on Vision4Press platform.

Data correspond to usage on the plateform after 2015. The current usage metrics is available 48-96 hours after online publication and is updated daily on week days.

Initial download of the metrics may take a while.