Free Access

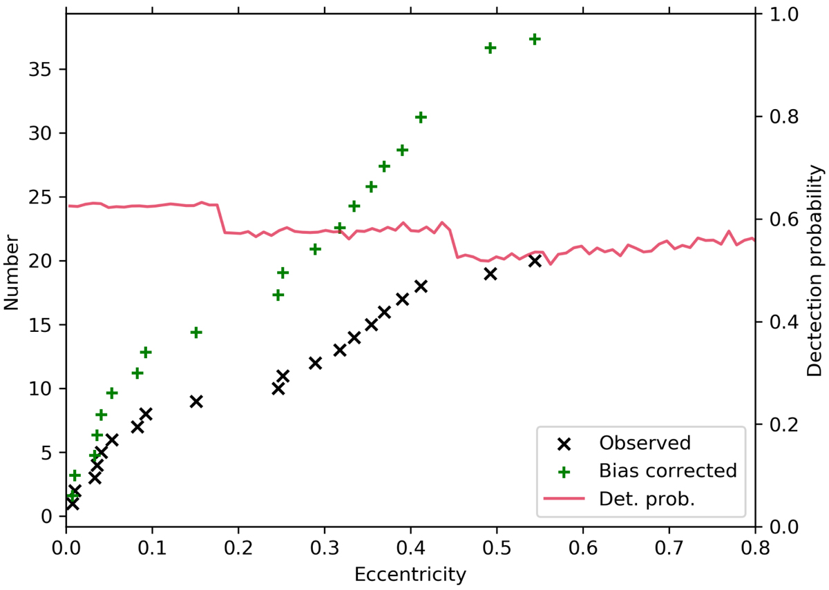
Fig. 9.

image

Download original image

Observed cumulative distribution of eccentricities of SB1 and SB2 systems in NGC 6231, with the distribution corrected for observational biases in green and the detection probability of systems as a function of eccentricity in red (as described in Sect. 3.5).

Current usage metrics show cumulative count of Article Views (full-text article views including HTML views, PDF and ePub downloads, according to the available data) and Abstracts Views on Vision4Press platform.

Data correspond to usage on the plateform after 2015. The current usage metrics is available 48-96 hours after online publication and is updated daily on week days.

Initial download of the metrics may take a while.