Open Access

Fig. 2

image

Download original image

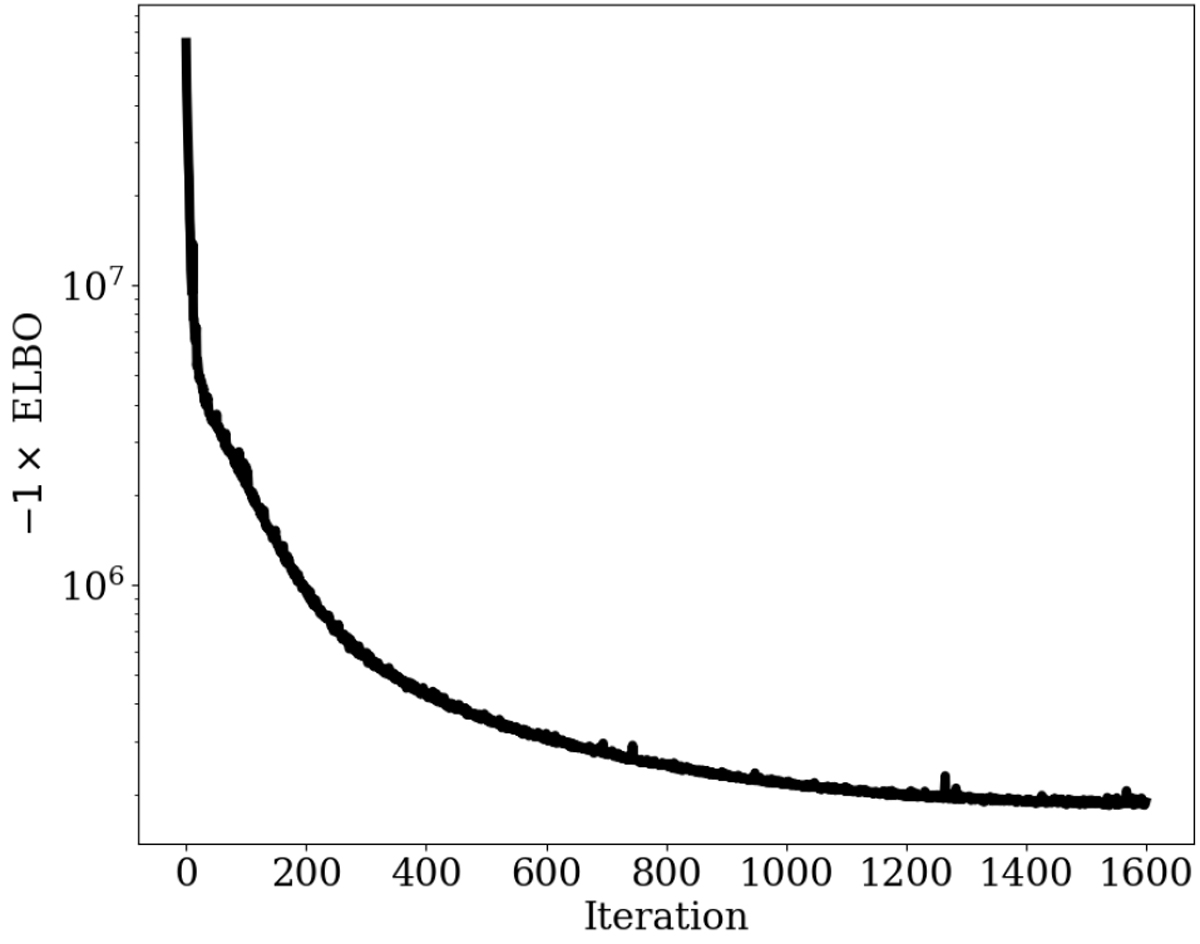
Variation in ELBO through model iterations. Pyro reports ELBO as a loss function and therefore seeks to minimise − 1× ELBO instead of directly maximising ELBO, and the y axis on this plot is therefore positive instead of negative. Minimising − 1× ELBO is therefore analogous to minimising the KL divergence.

Current usage metrics show cumulative count of Article Views (full-text article views including HTML views, PDF and ePub downloads, according to the available data) and Abstracts Views on Vision4Press platform.

Data correspond to usage on the plateform after 2015. The current usage metrics is available 48-96 hours after online publication and is updated daily on week days.

Initial download of the metrics may take a while.