Table 2
Median values and 68% confidence interval for HD 207897 b and its host star.
| Parameter | Units | Model priors | Activity on 35.9 d (Prob. = 46%) | Activity on 37.6 d (Prob. = 54%) | ||
|---|---|---|---|---|---|---|
| Stellar parameters: | ||||||
| M* | Mass (M⊙) | – | ||||
| R* | Radius (R⊙) | – | ||||
| R*,SED | Radius(1) (R⊙) | – | ||||
| L* | Luminosity (l⊙) | – | ||||
| FBol | Bolometric Flux (cgs) | – | ||||
| ρ* | Density (cgs) | – | ||||
| logg | Surface gravity (cgs) | – | ||||
| Teff | Effective Temperature (K) | |||||
| Teff,SED | Effective Temperature(1) (K) | – | ||||
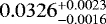
| [Fe/H] | Metallicity (dex) | |||||
| Initial Metallicity(2) | – | |||||
| Age | Age (Gyr) | – | 7.1 ± 4.5 | |||
| EEP | Equal Evolutionary Phase(3) | – | ||||
| AV | V-band extinction (mag) | |||||
| σSED | SED photometry error scaling | – | ||||
| ϖ | Parallax (mas) | 35.345 ± 0.047 | ||||
| d | Distance (pc) | – | 28.292 ± 0.038 | 28.293 ± 0.038 | ||
| RV slope(4) (m s−1/day) | – | − 0.00078 ± 0.00030 | ||||
| Planetary parameters: | ||||||
| P | Period (days) | – | 16.202157 ± 0.000085 | |||
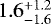
| RP | Radius (RE) | – | ||||
| MP | Mass (ME) | – | 15.9 ± 1.6 | 14.4 ± 1.6 | ||
| TC | Time of conjunction(5) (BJDTDB) | – | ||||
| TT | Time of minimum projected separation(6) (BJDTDB) | – | ||||
| T0 | Optimal conjunction Time(7) (BJDTDB) | – | ||||
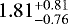
| a | Semi-major axis (AU) | – | ||||
| i | Inclination (Degrees) | – | 88.757 ± 0.067 | |||
| e | Eccentricity | – | ||||
| ω* | Argument of Periastron (Degrees) | – | − 100 ± 110 | |||
| Teq | Equilibrium temperature(8) (K) | – | ||||
| τcirc | Tidal circularization timescale (Gyr) | – | ||||
| K | RV semi-amplitude (m s−1) | – | 4.65 |
4.24 |
||
| RP∕R* | Radius of planet in stellar radii | – | ||||
| a∕R* | Semi-major axis in stellar radii | – | ||||
| δ | Transit depth (fraction) | – | ||||
| Depth | Flux decrement at mid transit | – | ||||
| τ | Ingress/egress transit duration (days) | – | ||||
| T14 | Total transit duration (days) | – | ||||
| TFWHM | FWHM transit duration (days) | – | ||||
| b | Transit Impact parameter | – | ||||
| bS | Eclipse impact parameter | – | ||||
| τS | Ingress/egress eclipse duration (days) | – | ||||
| TS,14 | Total eclipse duration (days) | – | ||||
| TS,FWHM | FWHM eclipse duration (days) | – | 0.1143 ± 0.0015 | 0.1143 ± 0.0016 | ||
| δS,2.5μm | Blackbody eclipse depth at 2.5μm (ppm) | – | ||||
| δS,5.0μm | Blackbody eclipse depth at 5.0μm (ppm) | – | ||||
| δS,7.5μm | Blackbody eclipse depth at 7.5μm (ppm) | – | ||||
| ρP 3 | Density (cgs) | – | 5.52 |
5.05 |
||
| log gP | Surface gravity | – | 3.393 |
3.353 |
||
| Θ | Safronov Number | – | 0.0647 |
0.0589 |
||
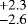
| ⟨F⟩ | Incident Flux (109 erg s−1 cm−2) | – | ||||
| TP | Time of Periastron (BJDTDB) | – | ||||
| TS | Time of eclipse (BJDTDB) | – | ||||
| TA | Time of Ascending Node (BJDTDB) | – | ||||
| TD | Time of Descending Node (BJDTDB) | – | ||||
| Vc ∕Ve | – | |||||
| e cos ω* | – | |||||
| e sin ω* | – | |||||
| MP sin i | Minimum mass (ME) | - | 15.8 ± 1.6 | 14.4 ± 1.6 | ||
| MP ∕M* | Mass ratio | – | 0.0000594 ± 0.0000058 | 0.0000540 ± 0.0000058 | ||
| d∕R* | Separation at mid transit | – | ||||
| PT | A priori non-grazing transit prob | - | ||||
| PT,G | A priori transit prob | – | ||||
| PS | A priori non-grazing eclipse prob | – | ||||
| PS,G | A priori eclipse prob | – | ||||
| Stellar activity parameters: | ||||||
| PActivity | Period (days) | – | 35.923 |
37.627 |
||
| TC,activity | Time of conjunction(5) (BJDTDB) | – | 2458917.1 ± 2.2 | 2458910.7 |
||
| eActivity | Eccentricity | – | ||||
| ω*, activity | Argument of Periastron (Degrees) | – | -127 |
33 |
||
| KActivity | RV semi-amplitude (m s−1) | – | ||||
| Telescope parameters for SOPHIE: | ||||||
| γrel | Relative RV Offset(4) (m s−1) | – | − 6327.36 ± 0.56 | − 6327.53 ± 0.52 | ||
| σJ | RV Jitter (m s−1) | – | ||||
| RV Jitter Variance | – | |||||
| Telescope parameters for APF: | ||||||
| γrel | Relative RV Offset(4) (m s−1) | – | 3.1 ± 1.1 | |||
| σJ | RV Jitter (m s−1) | – | ||||
| RV Jitter Variance | – | |||||
| Telescope parameters for HIRES: | ||||||
| γrel | Relative RV Offset(4) (m s−1) | – | ||||
| σJ | RV Jitter (m s−1) | – | 2.15 |
2.42 |
||
| RV Jitter Variance | – | |||||
| Wavelength parameters: | TESS | TESS | ||||
| u1 | linear limb-darkening coeff | – | 0.386 ± 0.046 | |||
| u2 | quadratic limb-darkening coeff | – | 0.188 ± 0.048 | |||
| Transit prameters: | TESS UT 2019-10-10 (TESS) | TESS UT 2019-10-10 (TESS) | ||||
| σ2 | Added Variance | – | 0.0000000244 ± 0.0000000011 | 0.0000000244 ± 0.0000000011 | ||
| F0 | Baseline flux | – | ||||
Notes. Gaussian priors are presented by
where a and b are the mean and width, respectively. Likewise, the uniform prior is denoted by
and c and d present bounds on the parameter. The two solutions correspond to two possibilities for the stellar activity period. The highlighted parameters present a difference exceeding 0.5 σ between thetwo solutions. See Table 3 in Eastman et al. (2019) for a detailed description of all parameters. (1) This value ignores the systematic error and is for reference only. (2)The metallicity of the star at birth. (3)Corresponds to static points in a star’s evolutionary history. See Sect. 2 in Dotter (2016). (4) Reference epoch = 2456438.359500. (5) Time of conjunction is commonly reported as the “transit time”. (6)Time of minimum projected separation is a more correct “transit time”. (7) Optimal time of conjunction minimizes the covariance between TC and Period. (8)Assumes no albedo and perfect redistribution.
Current usage metrics show cumulative count of Article Views (full-text article views including HTML views, PDF and ePub downloads, according to the available data) and Abstracts Views on Vision4Press platform.
Data correspond to usage on the plateform after 2015. The current usage metrics is available 48-96 hours after online publication and is updated daily on week days.
Initial download of the metrics may take a while.