Open Access

Fig. 4

image

Download original image

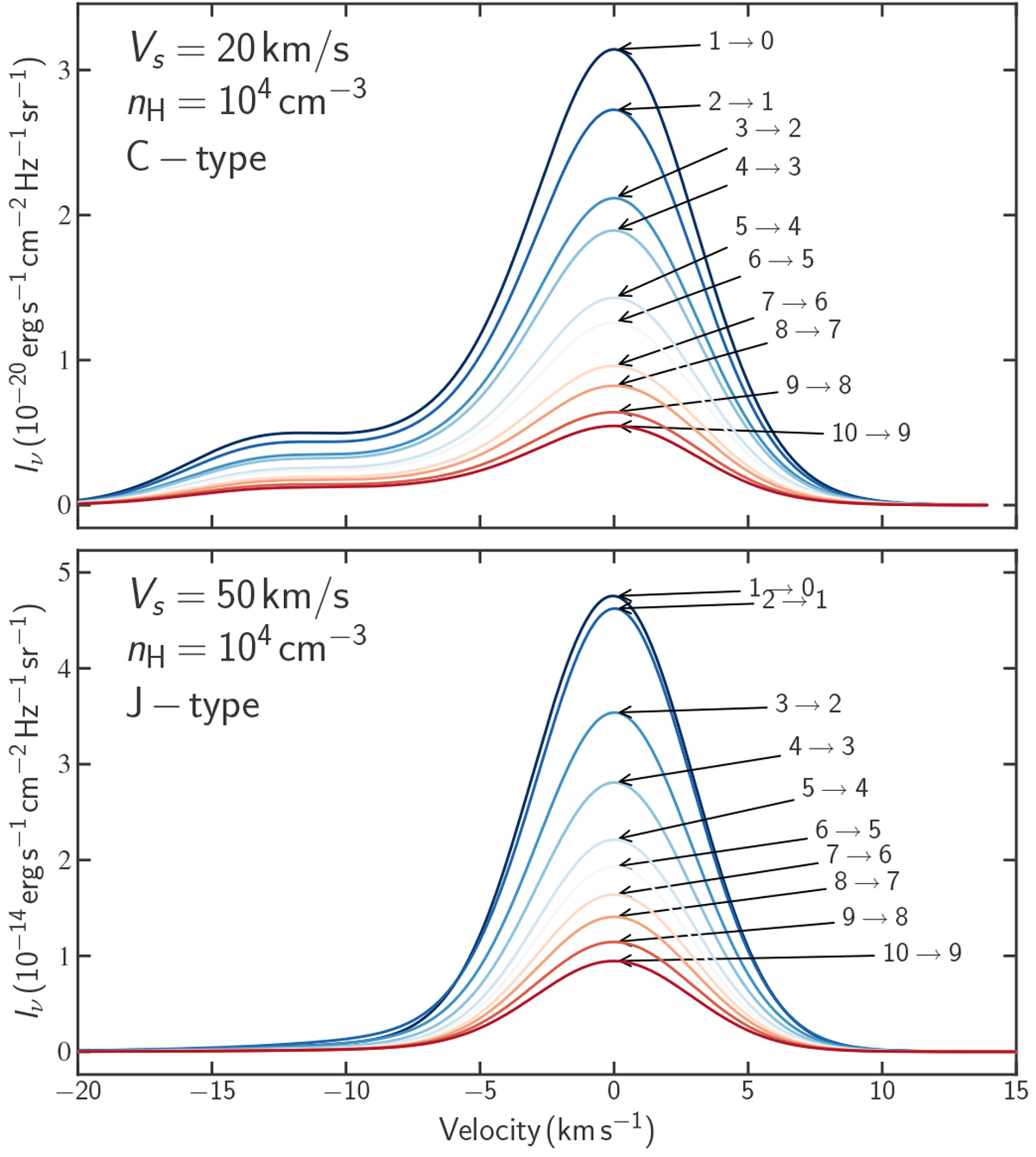
Specific intensities of CH+ pure rotational lines v = 0 − 0 J = nn − 1 up to n = 10 emitted parallel to the propagation direction of a (top) C-type shock with velocity Vs = 20 km s−1 or (bottom) J-type shock with velocity Vs = 50 km s−1, both with pre-shock density 104 cm−3, magnetic parameter b = 1, and no external radiation field G0 = 0.

Current usage metrics show cumulative count of Article Views (full-text article views including HTML views, PDF and ePub downloads, according to the available data) and Abstracts Views on Vision4Press platform.

Data correspond to usage on the plateform after 2015. The current usage metrics is available 48-96 hours after online publication and is updated daily on week days.

Initial download of the metrics may take a while.