Free Access

Fig. 6.

image

Download original image

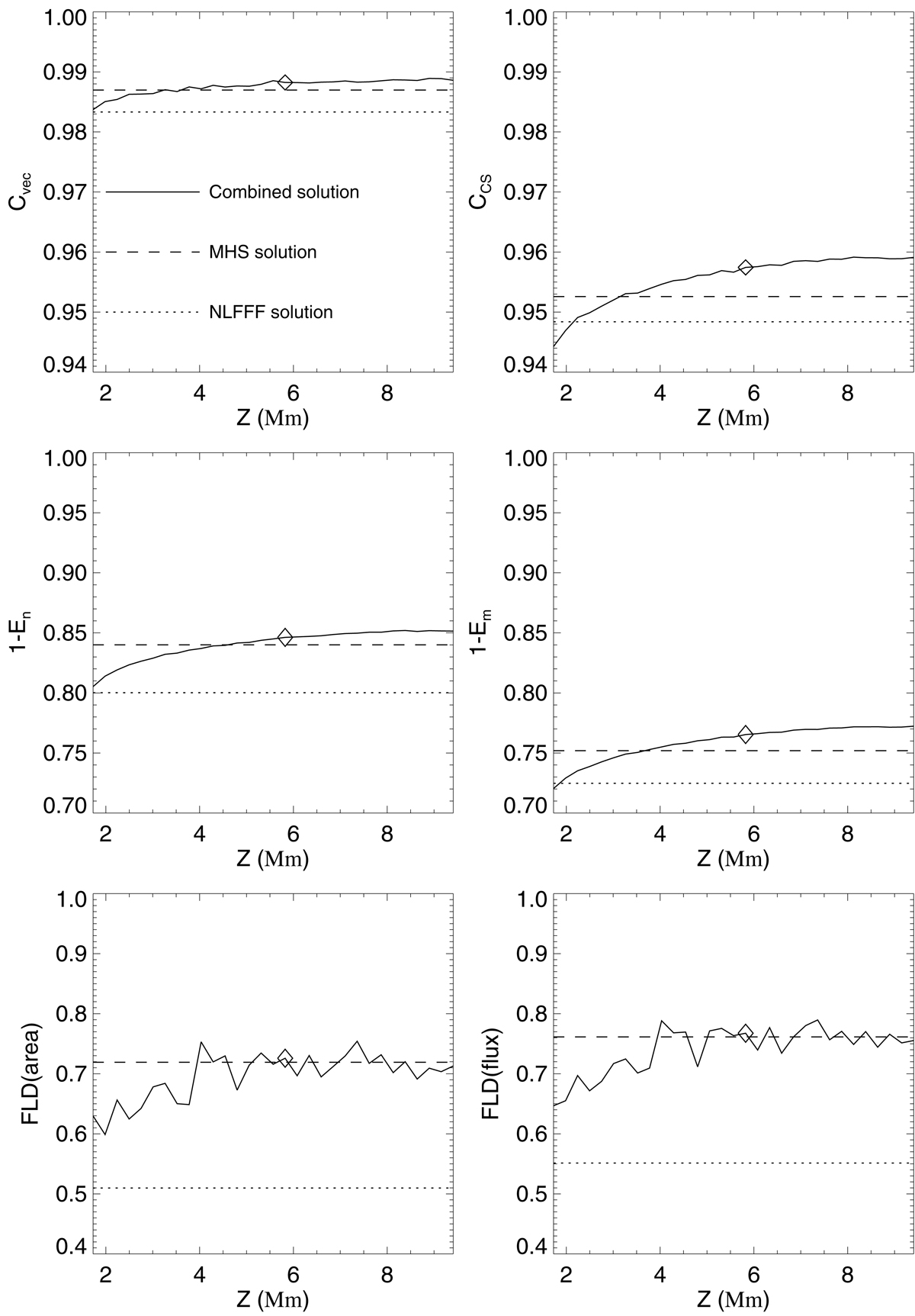
Figures of merit for comparison (below 30 Mm) of the reference model and the combined extrapolation with various heights of the MHS extrapolation box. The magnetogram at 1 Mm is used as boundary input to the NLFFF extrapolation. The optimal height 5.8 Mm is marked with rhombus.

Current usage metrics show cumulative count of Article Views (full-text article views including HTML views, PDF and ePub downloads, according to the available data) and Abstracts Views on Vision4Press platform.

Data correspond to usage on the plateform after 2015. The current usage metrics is available 48-96 hours after online publication and is updated daily on week days.

Initial download of the metrics may take a while.