Open Access

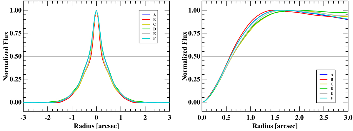
Fig. 3.

image

Download original image

Left panel: Azimuthal-average profile of the combined dataset PSFs associated to the six slice submosaics (normalized to the value of the central pixel). The solid black line marks the definition of the synthesized beam FWHM. Right panel: cumulative flux density enclosed in the PSFs (normalized to the maximum value with the solid black representing 50% of this value as reference.

Current usage metrics show cumulative count of Article Views (full-text article views including HTML views, PDF and ePub downloads, according to the available data) and Abstracts Views on Vision4Press platform.

Data correspond to usage on the plateform after 2015. The current usage metrics is available 48-96 hours after online publication and is updated daily on week days.

Initial download of the metrics may take a while.