Open Access

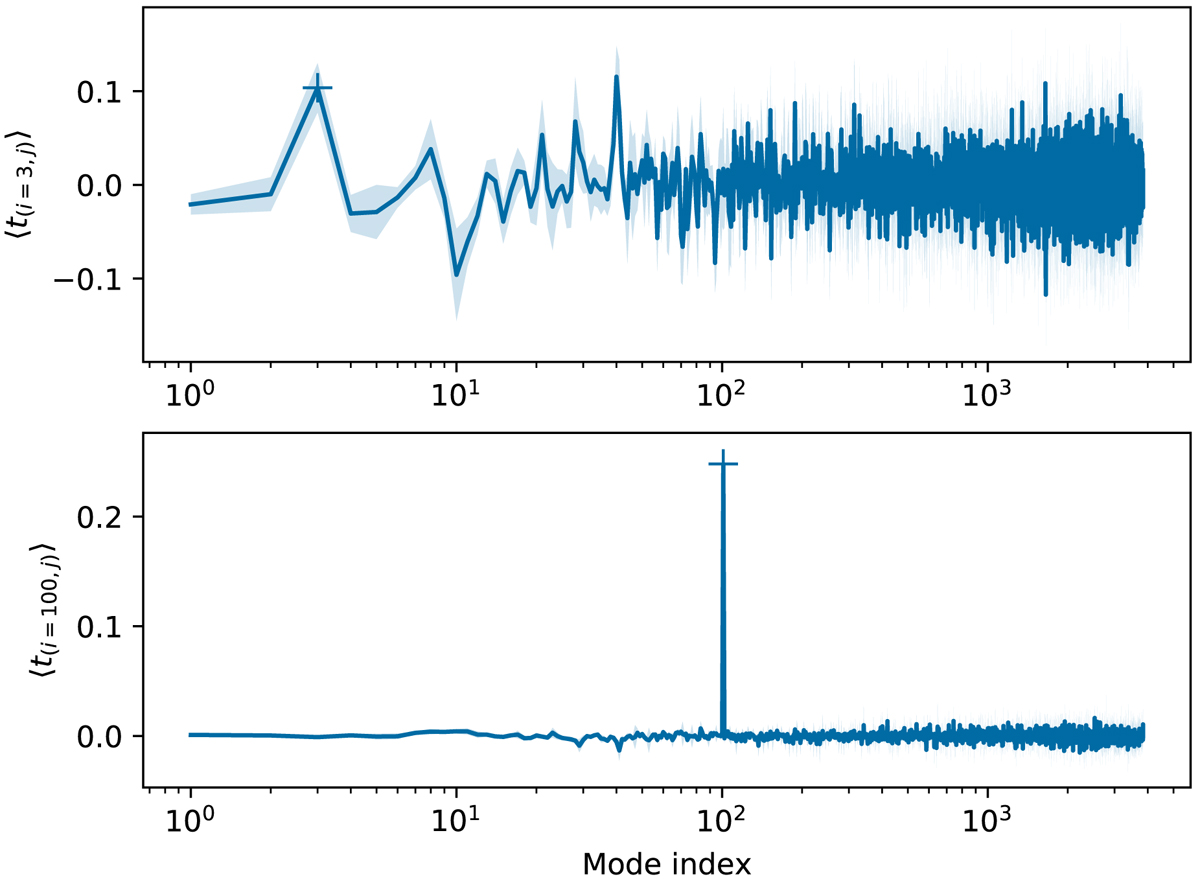
Fig. 8.

image

Download original image

Coefficients ti, j of a line i of the operation-to-calibration transfer matrix T at a seeing of r0(500 nm)=12.8 cm. Top: for the third petal mode. Bottom: for an intra-petal mode with index 100. The cross markers show the diagonal coefficients. Shaded areas indicate the ±1σ error bars.

Current usage metrics show cumulative count of Article Views (full-text article views including HTML views, PDF and ePub downloads, according to the available data) and Abstracts Views on Vision4Press platform.

Data correspond to usage on the plateform after 2015. The current usage metrics is available 48-96 hours after online publication and is updated daily on week days.

Initial download of the metrics may take a while.