Free Access

Fig. 1

image

Download original image

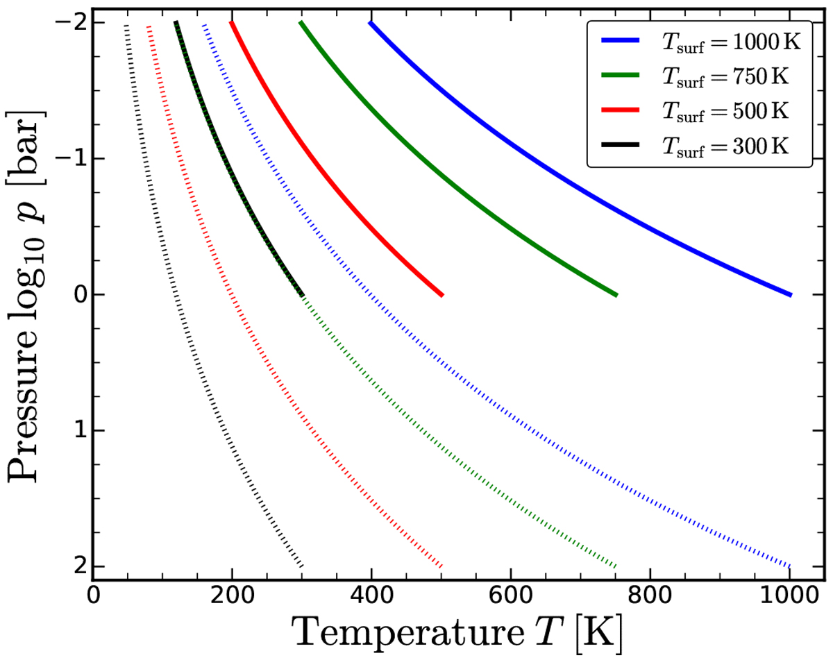
Pressure-temperature diagrams for various models investigated in this work. Models for surface pressure of 1 bar and 100 bar are shown with solid and dotted lines, respectively. The line colour corresponds to the surface temperature. All models are calculated up to 10 mbar.

Current usage metrics show cumulative count of Article Views (full-text article views including HTML views, PDF and ePub downloads, according to the available data) and Abstracts Views on Vision4Press platform.

Data correspond to usage on the plateform after 2015. The current usage metrics is available 48-96 hours after online publication and is updated daily on week days.

Initial download of the metrics may take a while.