Free Access

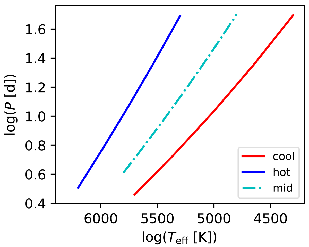
Fig. 2.

image

Download original image

Dependence of log P on Teff determined based on the pulsation analysis of Geneva stellar evolution models for solar metallicity for Cepheids with typical initial rotation (ω = 0.5) (Anderson et al. 2016). The blue dash-dotted line represents the midpoint between the hot and cool edges of the IS, and we average over the second crossing.

Current usage metrics show cumulative count of Article Views (full-text article views including HTML views, PDF and ePub downloads, according to the available data) and Abstracts Views on Vision4Press platform.

Data correspond to usage on the plateform after 2015. The current usage metrics is available 48-96 hours after online publication and is updated daily on week days.

Initial download of the metrics may take a while.