Open Access

Fig. 8

image

Download original image

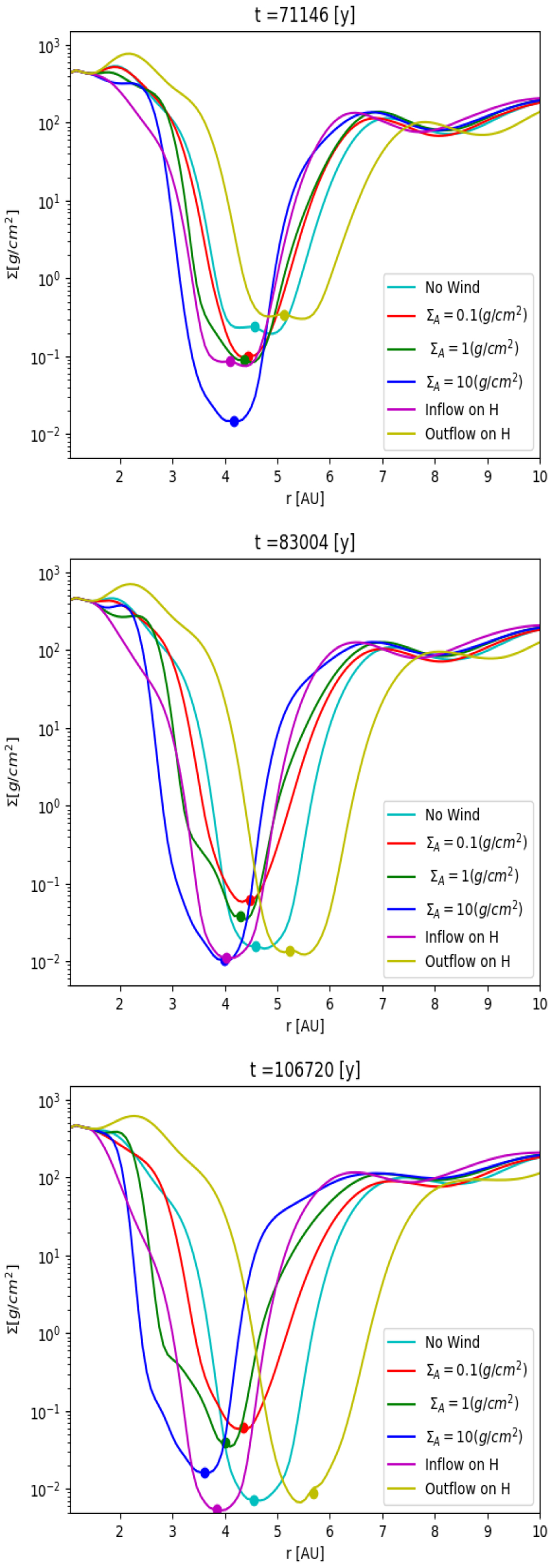
Azimuthally averaged radial surface density profiles at specific times (reported on top of the panels). At the time of top and middle panels, the migration behaviour has clearly bifurcated with slow outward migration for discs NW and S01 and rapidinward migration for the simulation sets with thicker active layers as well as for the case Hin. Rapid outward migration is observed for the case Hout. Despite the differences in the migration regimes, the gap depth slowly evolves from the time corresponding to the middle panel to theone represented in the bottom panel: gaps are deeper in all the simulations sets in which the planet blocks the flow from the active layers.

Current usage metrics show cumulative count of Article Views (full-text article views including HTML views, PDF and ePub downloads, according to the available data) and Abstracts Views on Vision4Press platform.

Data correspond to usage on the plateform after 2015. The current usage metrics is available 48-96 hours after online publication and is updated daily on week days.

Initial download of the metrics may take a while.