Open Access

Fig. 9

image

Download original image

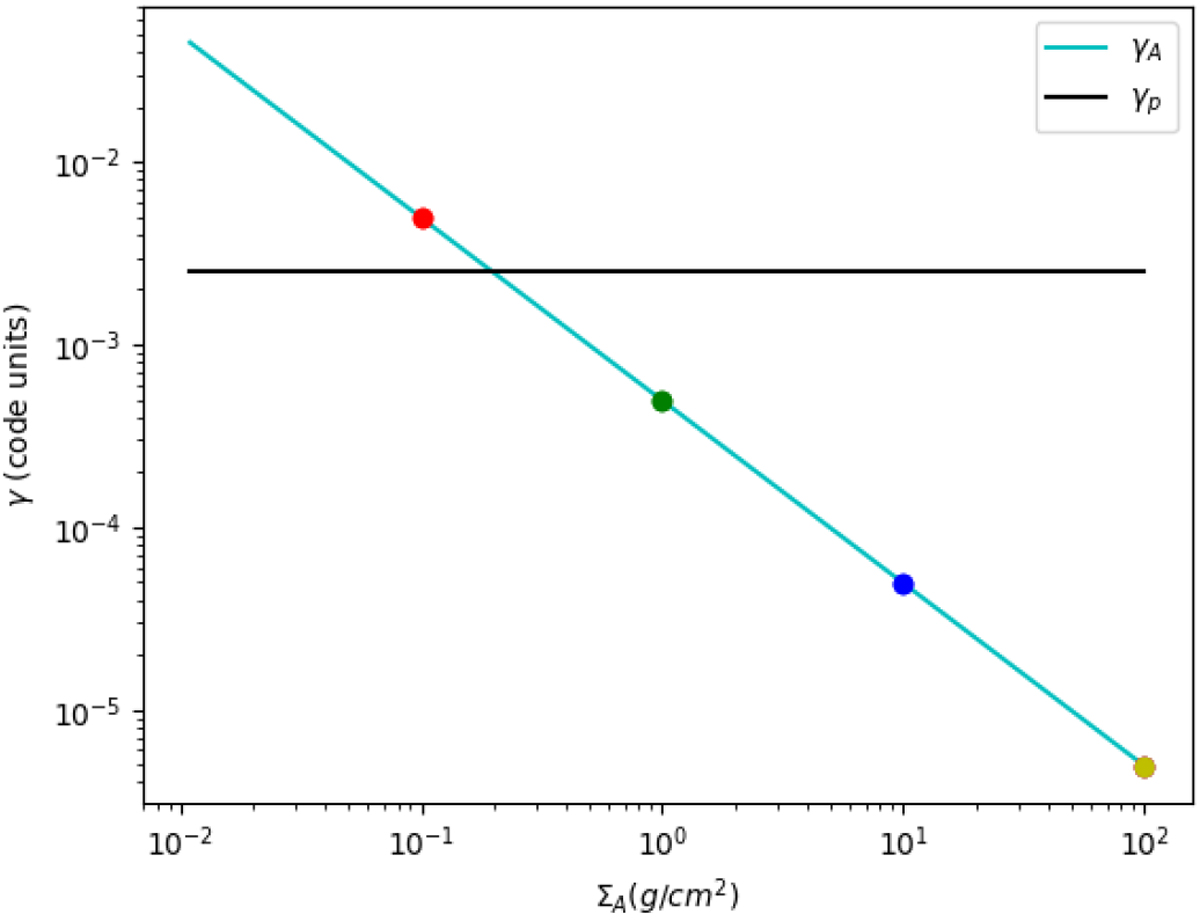
Specific torque γA and specific planetary torque exerted by a Jupiter mass planet on the outer disc (Eq. (10), see text) γp as a functionof ΣA. We notice that γA > γp only for the model with the thinnest layer (S01). The dot at ΣA = 100 g cm−2 refers to the case where the torque is applied to the layer around the midplane (Hin and Hout).

Current usage metrics show cumulative count of Article Views (full-text article views including HTML views, PDF and ePub downloads, according to the available data) and Abstracts Views on Vision4Press platform.

Data correspond to usage on the plateform after 2015. The current usage metrics is available 48-96 hours after online publication and is updated daily on week days.

Initial download of the metrics may take a while.