Free Access

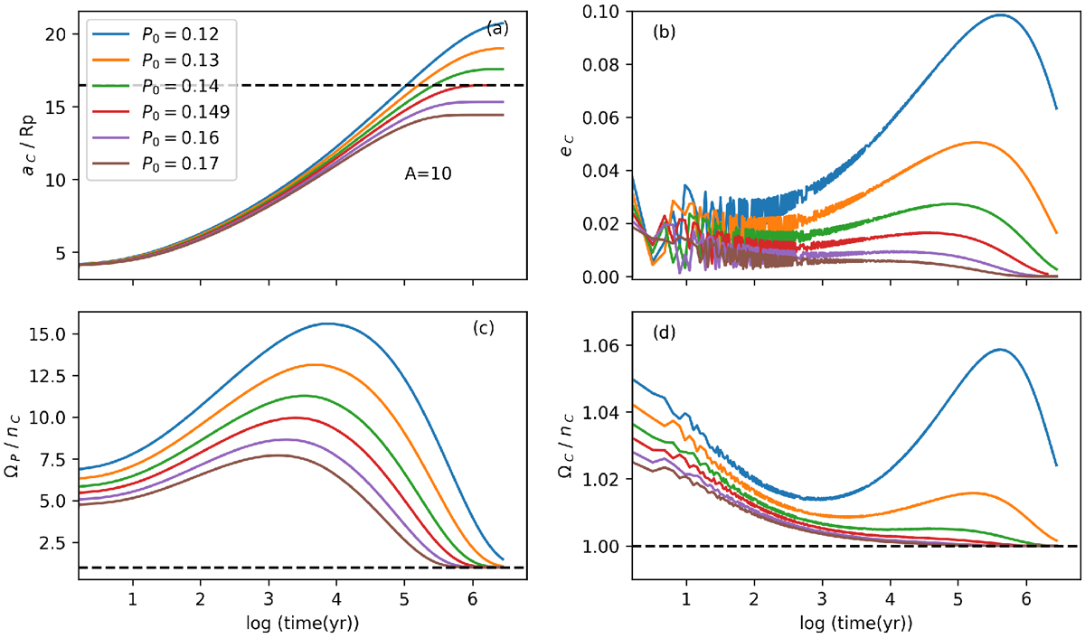
Fig. 10

image

Download original image

Tidal evolution of the PC binary, for A = 10 and a logarithmic mass accretion of Charon during the first 104 yr, starting with the initial eccentricity eC = 0.001. Panels show the orbital semi-major axis, aC, in units of RP (panel a), the orbital eccentricity, eC (panel b), and the spin angular velocities of Pluto, ΩP (panel c) and Charon, ΩC (panel d) in units of the mean motion, nC. Each colour represents a different initial P0, in units of days.

Current usage metrics show cumulative count of Article Views (full-text article views including HTML views, PDF and ePub downloads, according to the available data) and Abstracts Views on Vision4Press platform.

Data correspond to usage on the plateform after 2015. The current usage metrics is available 48-96 hours after online publication and is updated daily on week days.

Initial download of the metrics may take a while.