Free Access

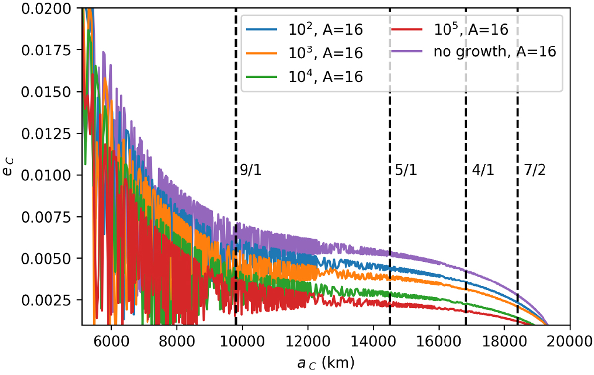
Fig. 14

image

Download original image

Eccentricity of a growing Charon during the tidal expansion of Charon’s orbit. Different colours are used to present the different values of the accretion time. The vertical dashed lines show the nominal locations of the main MMRs originated by a migrating Charon at Styx’s current position; each MMR is identified by the corresponding label.

Current usage metrics show cumulative count of Article Views (full-text article views including HTML views, PDF and ePub downloads, according to the available data) and Abstracts Views on Vision4Press platform.

Data correspond to usage on the plateform after 2015. The current usage metrics is available 48-96 hours after online publication and is updated daily on week days.

Initial download of the metrics may take a while.