Free Access

Fig. 16

image

Download original image

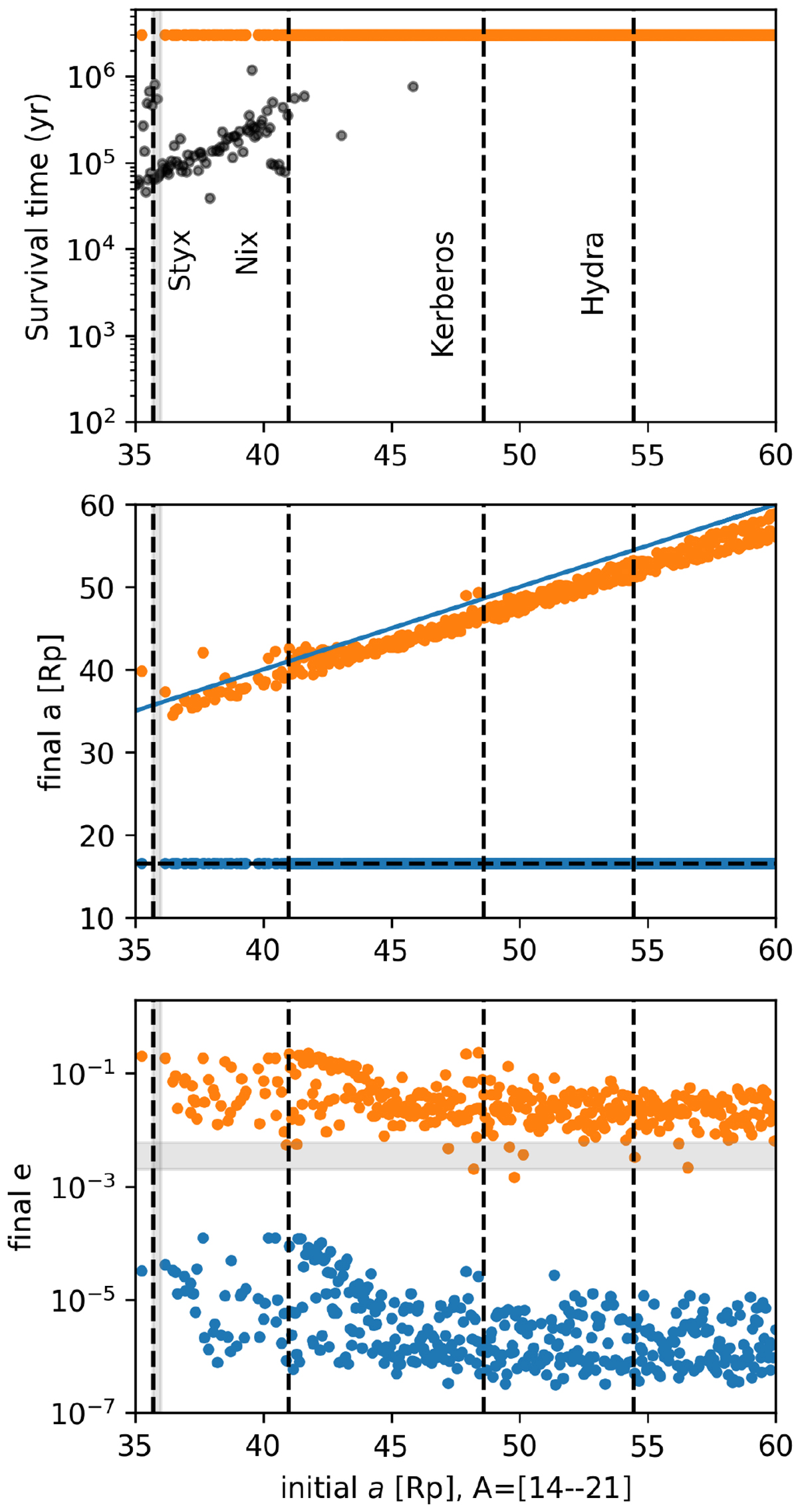
Evolution of the ring of particles, each with a mass of 4.5 × 1016 kg, for an A in the range [14–21]. Top panel: survival times for particles. Middle panel: final semi-major axis of the small moons and Charon. Bottom panel: final eccentricity of Charon and the particles. The mass growth of Charon is set to 104 yr. Blue is used to indicate orbital parameters of Charon and orange for the particles. Orange dots represent survivors (the particles that remain close to initial configurations during the integration time of 3 × 106 yr). The black points in the top panel identify those particles that escape while the PC binary evolves. The shaded grey region indicates the range of values according to diverse authors (see Table 1).

Current usage metrics show cumulative count of Article Views (full-text article views including HTML views, PDF and ePub downloads, according to the available data) and Abstracts Views on Vision4Press platform.

Data correspond to usage on the plateform after 2015. The current usage metrics is available 48-96 hours after online publication and is updated daily on week days.

Initial download of the metrics may take a while.