Open Access

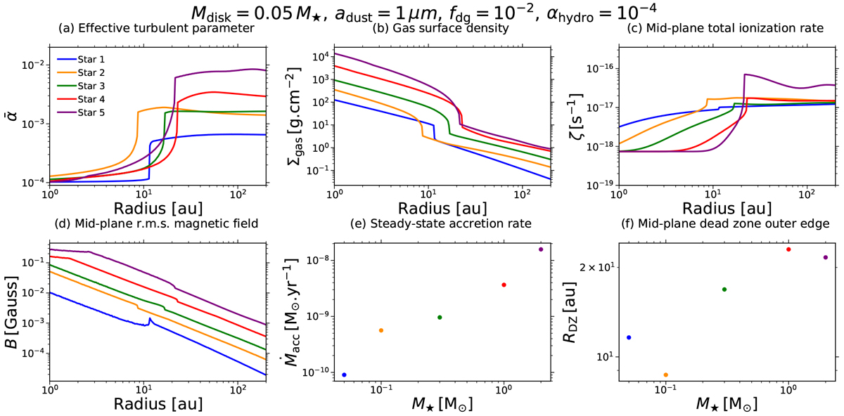
Fig. D.5

image

Download original image

Combined effect of stellar properties and total disk gas mass on the equilibrium solution when varying the parameters M and L together, all the way from accreting brown dwarfs to Herbig stars. The total disk gas mass depends on the stellar mass and is such that Mdisk = 0.05 M. The “star 1” case (blue) corresponds to a star of mass M = 0.05 M and bolometric luminosity L = 2 × 10−3 L. The “star 2” case (dark orange) corresponds to a star of mass M = 0.1 M and bolometric luminosity L = 8 × 10−2 L. The “star 3” case (green) corresponds to a star of mass M = 0.3 M and bolometric luminosity L = 0.2 L. The “star 4” case (red) corresponds to the fiducial model where the stellar mass is M = 1 M and the bolometric luminosity is L = 2 L. The “star 5” case (purple) corresponds to a star of mass M = 2 M and bolometric luminosity L = 20 L. The panels show the various steady-state profiles of some key quantities, for the model parameters Mdisk= 0.05 M, adust = 1 μm, fdg = 10−2, and αhydro = 10−4. Panels (a)-(f) show the same key quantities as in Fig. 7.

Current usage metrics show cumulative count of Article Views (full-text article views including HTML views, PDF and ePub downloads, according to the available data) and Abstracts Views on Vision4Press platform.

Data correspond to usage on the plateform after 2015. The current usage metrics is available 48-96 hours after online publication and is updated daily on week days.

Initial download of the metrics may take a while.