Open Access

Fig. 3

image

Download original image

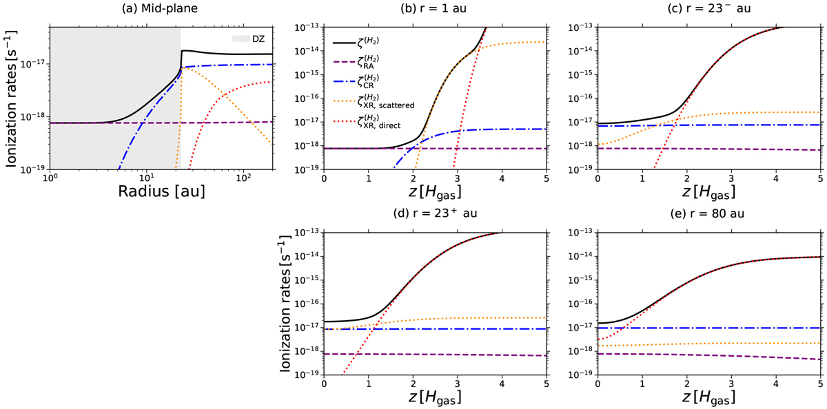
Steady-state ionization rates for the fiducial model. The total ionization rate for H2 (ζ(H2); solid black line) is the sum of the following contributions: the radionuclides ionization rate for H2 (; dashed purple line) defined by Eq. (15); the galactic cosmic ray ionization rate for H2 (; dash-dotted blue line) defined by Eq. (14); the scattered X-ray contribution of the X-ray ionization rate for H2 (; dotted dark orange line) defined by Eq. (13); and its direct X-ray contribution (; dotted red line) defined by Eq. (12). Panel a: Mid-plane ionization rates as a function of radius. The gray shaded area corresponds to the radial locations within the mid-plane dead zone. Panel b: ionization rates computed at r = 1 au (a radial location well within the dead zone) as a function of height, z. Panel c: same as panel b but for r = 23 au, corresponding to the radial location right before the mid-plane dead zone outer edge (r = 23 au). Panel d: same as panel b but for r = 23+ au, corresponding to the radial location right after the mid-plane dead zone outer edge. Panel e: same as panel b but for r = 80 au, corresponding to a radial location well within the MRI-active layer. A 2D map of the total ionization rate for H2 (ζ(H2)) and its different contributions can be found in Fig. C.1.

Current usage metrics show cumulative count of Article Views (full-text article views including HTML views, PDF and ePub downloads, according to the available data) and Abstracts Views on Vision4Press platform.

Data correspond to usage on the plateform after 2015. The current usage metrics is available 48-96 hours after online publication and is updated daily on week days.

Initial download of the metrics may take a while.