Free Access

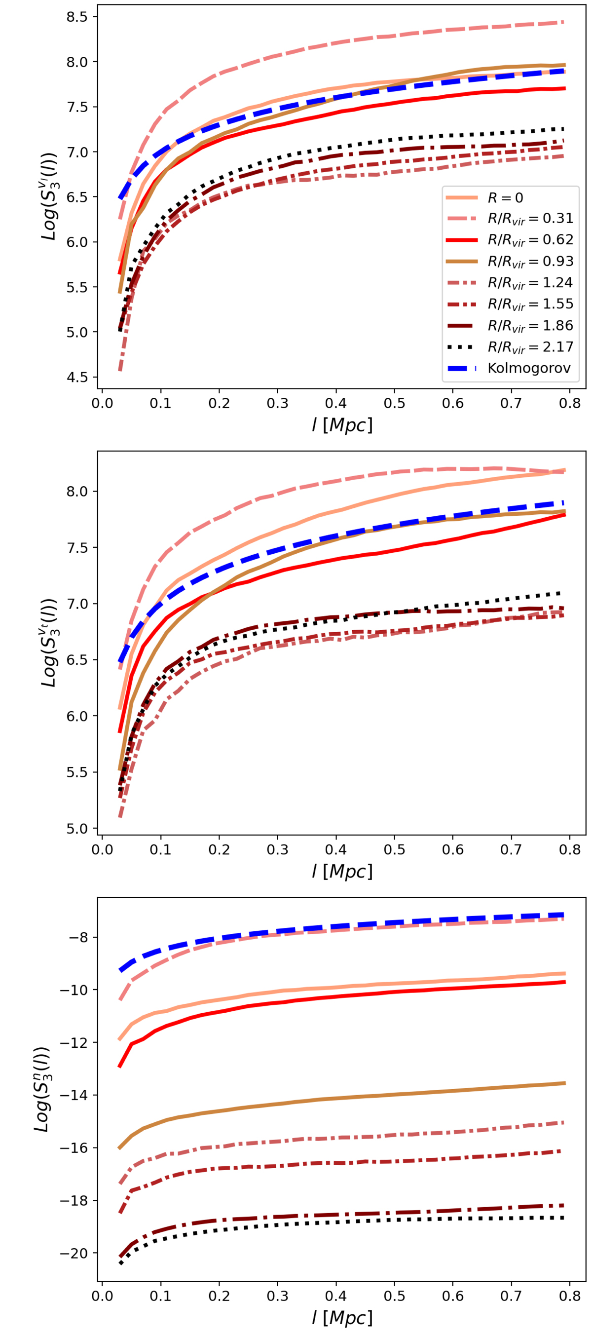
Fig. 7.

image

Download original image

Structure function of the tangential (upper panel), transverse (middle panel) and numerical density (lower panel). The slope is consistent with Kolmorov’s theory in the range between 100–800 kpc, while it has a steeper behaviour at the smallest scales (l < 100 kpc). The normalisation increases with cluster-centric distance, especially for the density structure function due to the stratification of the ICM.

Current usage metrics show cumulative count of Article Views (full-text article views including HTML views, PDF and ePub downloads, according to the available data) and Abstracts Views on Vision4Press platform.

Data correspond to usage on the plateform after 2015. The current usage metrics is available 48-96 hours after online publication and is updated daily on week days.

Initial download of the metrics may take a while.